mp-16978/Ba3MgSb2O9/anharm

Equation of state

../../_images/fig_bm7086.png

(a) Equation of state

Harmonic properties

../../_images/fig_bandos_pr14143.png

(a) Phonon dispersion with participation ratio and DOS

../../_images/fig_bandos18536.png

(b) Phonon dispersion and DOS

../../_images/fig_thermo14143.png

(c) Thermodynamic properties

Grüneisen parameters

../../_images/fig_gru_all6007.png

(a) Grüneisen parameters

../../_images/fig_gruneisen6007.png

(b) Phonon dispersion with Grüneisen parameters

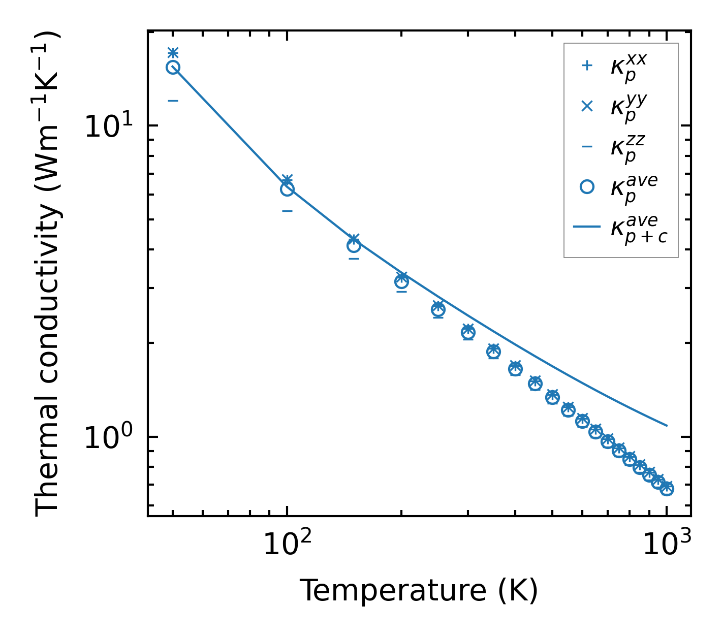
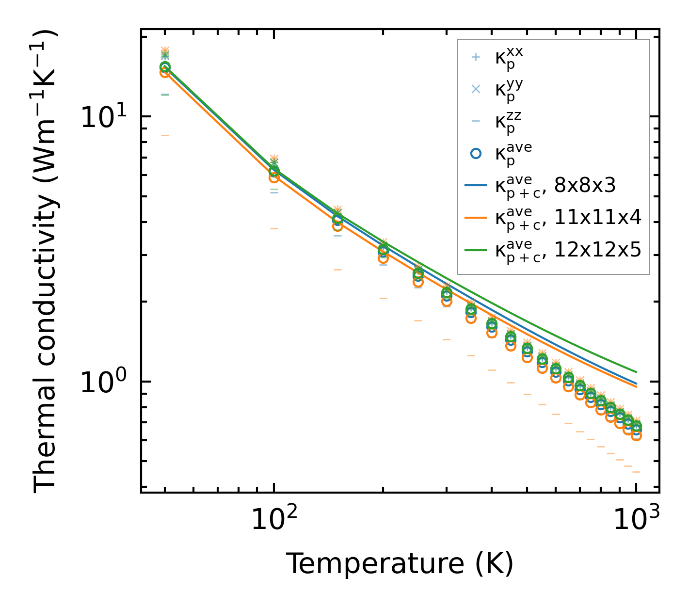
Thermal conductivity

3-phonon (LASSO) — q-mesh: 12x12x5, supercell: 2x2x1

../../_images/fig_kappa11309.png

(a) Temperature-dependent lattice thermal conductivity

../../_images/fig_kappa_vs_grain_size6086.png

(b) Peierls lattice thermal conductivity w.r.t grain size

Phonon lifetime and scattering rates

../../_images/fig_lifetime5950.png

(a) Phonon lifetime due to phonon-phonon scattering

../../_images/fig_scat_rates5949.png

(b) Phonon scattering rates

Cumulative and spectral thermal conductivity

../../_images/fig_cumu_frequency5950.png

(a) Spectral and cumulative thermal conductivity w.r.t frequency

../../_images/fig_cumu_mfp5949.png

(b) Spectral and cumulative thermal conductivity w.r.t MFP

Force constants

../../_images/fig_fc213771.png

(a) Force constants w.r.t atomic distance

Summary

../../_images/fig_kappa11310.png

(a) Temperature-dependent lattice thermal conductivity

../../_images/fig_times23653.png

(b) Computation time