mp-16560/KEr2CuSe4/anharm

Harmonic properties

../../_images/fig_bandos_pr14443.png

(a) Phonon dispersion with participation ratio and DOS

../../_images/fig_thermo14443.png

(b) Thermodynamic properties

Grüneisen parameters

../../_images/fig_gru_all6175.png

(a) Grüneisen parameters

../../_images/fig_gruneisen6175.png

(b) Phonon dispersion with Grüneisen parameters

Thermal conductivity

3-phonon (LASSO) — q-mesh: 12x12x6, supercell: 4x1x1

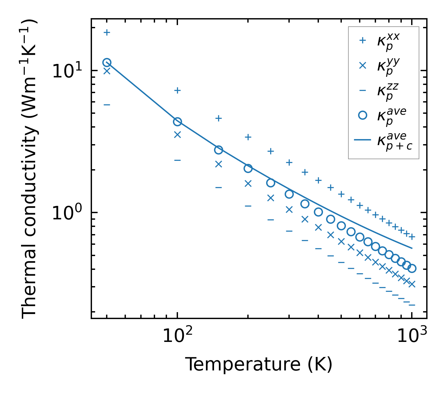
../../_images/fig_kappa11618.png

(a) Temperature-dependent lattice thermal conductivity

../../_images/fig_kappa_vs_grain_size6253.png

(b) Peierls lattice thermal conductivity w.r.t grain size

Phonon lifetime and scattering rates

../../_images/fig_lifetime6114.png

(a) Phonon lifetime due to phonon-phonon scattering

../../_images/fig_scat_rates6113.png

(b) Phonon scattering rates

Cumulative and spectral thermal conductivity

../../_images/fig_cumu_frequency6114.png

(a) Spectral and cumulative thermal conductivity w.r.t frequency

../../_images/fig_cumu_mfp6113.png

(b) Spectral and cumulative thermal conductivity w.r.t MFP

Force constants

../../_images/fig_fc214063.png

(a) Force constants w.r.t atomic distance

Summary

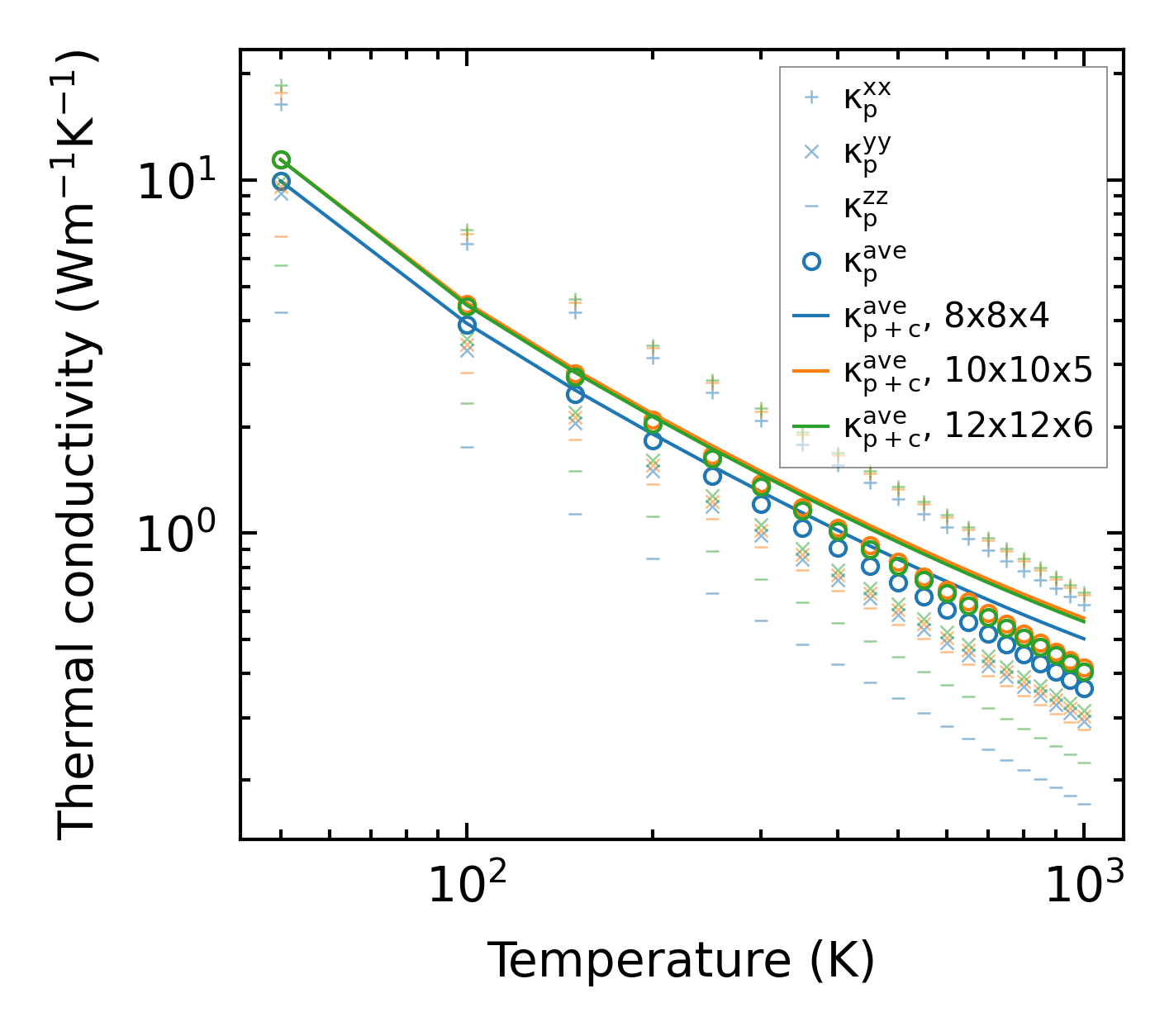
../../_images/fig_kappa11619.png

(a) Temperature-dependent lattice thermal conductivity

../../_images/fig_times24054.png

(b) Computation time