mp-16919/Y2HfS5/anharm

Harmonic properties

../../_images/fig_bandos_pr14125.png

(a) Phonon dispersion with participation ratio and DOS

../../_images/fig_thermo14125.png

(b) Thermodynamic properties

Grüneisen parameters

../../_images/fig_gru_all5995.png

(a) Grüneisen parameters

../../_images/fig_gruneisen5995.png

(b) Phonon dispersion with Grüneisen parameters

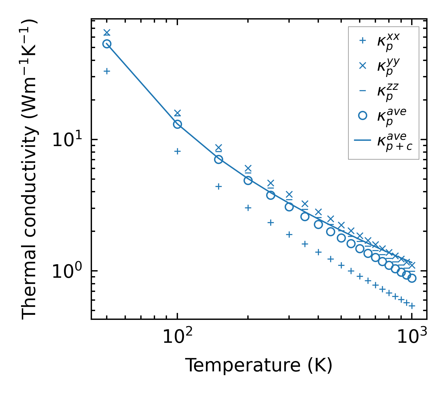
Thermal conductivity

3-phonon (LASSO) — q-mesh: 6x9x10, supercell: 1x2x2

../../_images/fig_kappa11287.png

(a) Temperature-dependent lattice thermal conductivity

../../_images/fig_kappa_vs_grain_size6074.png

(b) Peierls lattice thermal conductivity w.r.t grain size

Phonon lifetime and scattering rates

../../_images/fig_lifetime5938.png

(a) Phonon lifetime due to phonon-phonon scattering

../../_images/fig_scat_rates5937.png

(b) Phonon scattering rates

Cumulative and spectral thermal conductivity

../../_images/fig_cumu_frequency5938.png

(a) Spectral and cumulative thermal conductivity w.r.t frequency

../../_images/fig_cumu_mfp5937.png

(b) Spectral and cumulative thermal conductivity w.r.t MFP

Force constants

../../_images/fig_fc213753.png

(a) Force constants w.r.t atomic distance

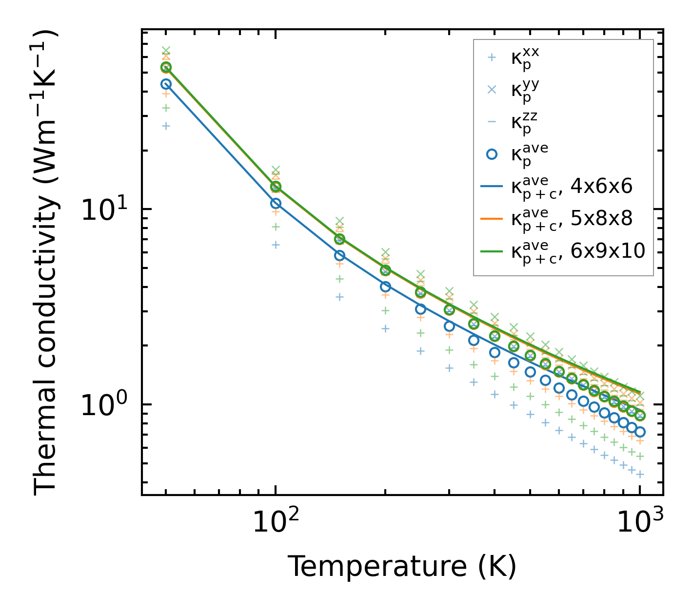
Summary

../../_images/fig_kappa11288.png

(a) Temperature-dependent lattice thermal conductivity

../../_images/fig_times23629.png

(b) Computation time