mp-16135/Sm3NbS3O4/harm

Equation of state

../../_images/fig_bm7195.png

(a) Equation of state

Harmonic properties

../../_images/fig_bandos_pr14389.png

(a) Phonon dispersion with participation ratio and DOS

../../_images/fig_bandos18762.png

(b) Phonon dispersion and DOS

../../_images/fig_thermo14389.png

(c) Thermodynamic properties

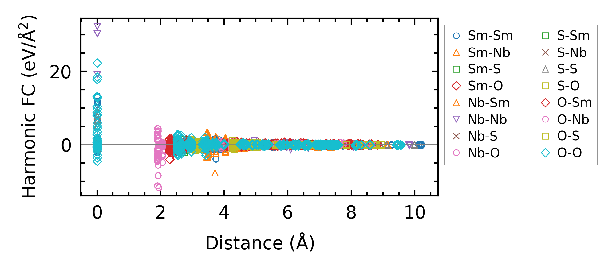
Force constants

../../_images/fig_fc214014.png

(a) Force constants w.r.t atomic distance

Summary

../../_images/fig_times23988.png

(a) Computation time