mp-16863/Rb3PS4/anharm

Harmonic properties

../../_images/fig_bandos_pr14112.png

(a) Phonon dispersion with participation ratio and DOS

../../_images/fig_thermo14112.png

(b) Thermodynamic properties

Grüneisen parameters

../../_images/fig_gru_all5988.png

(a) Grüneisen parameters

../../_images/fig_gruneisen5988.png

(b) Phonon dispersion with Grüneisen parameters

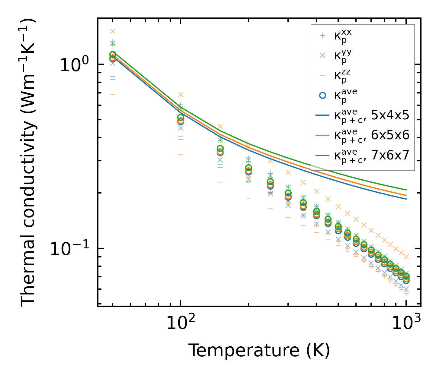
Thermal conductivity

3-phonon (LASSO) — q-mesh: 7x6x7, supercell: 2x1x2

../../_images/fig_kappa11274.png

(a) Temperature-dependent lattice thermal conductivity

../../_images/fig_kappa_vs_grain_size6067.png

(b) Peierls lattice thermal conductivity w.r.t grain size

Phonon lifetime and scattering rates

../../_images/fig_lifetime5931.png

(a) Phonon lifetime due to phonon-phonon scattering

../../_images/fig_scat_rates5930.png

(b) Phonon scattering rates

Cumulative and spectral thermal conductivity

../../_images/fig_cumu_frequency5931.png

(a) Spectral and cumulative thermal conductivity w.r.t frequency

../../_images/fig_cumu_mfp5930.png

(b) Spectral and cumulative thermal conductivity w.r.t MFP

Force constants

../../_images/fig_fc213740.png

(a) Force constants w.r.t atomic distance

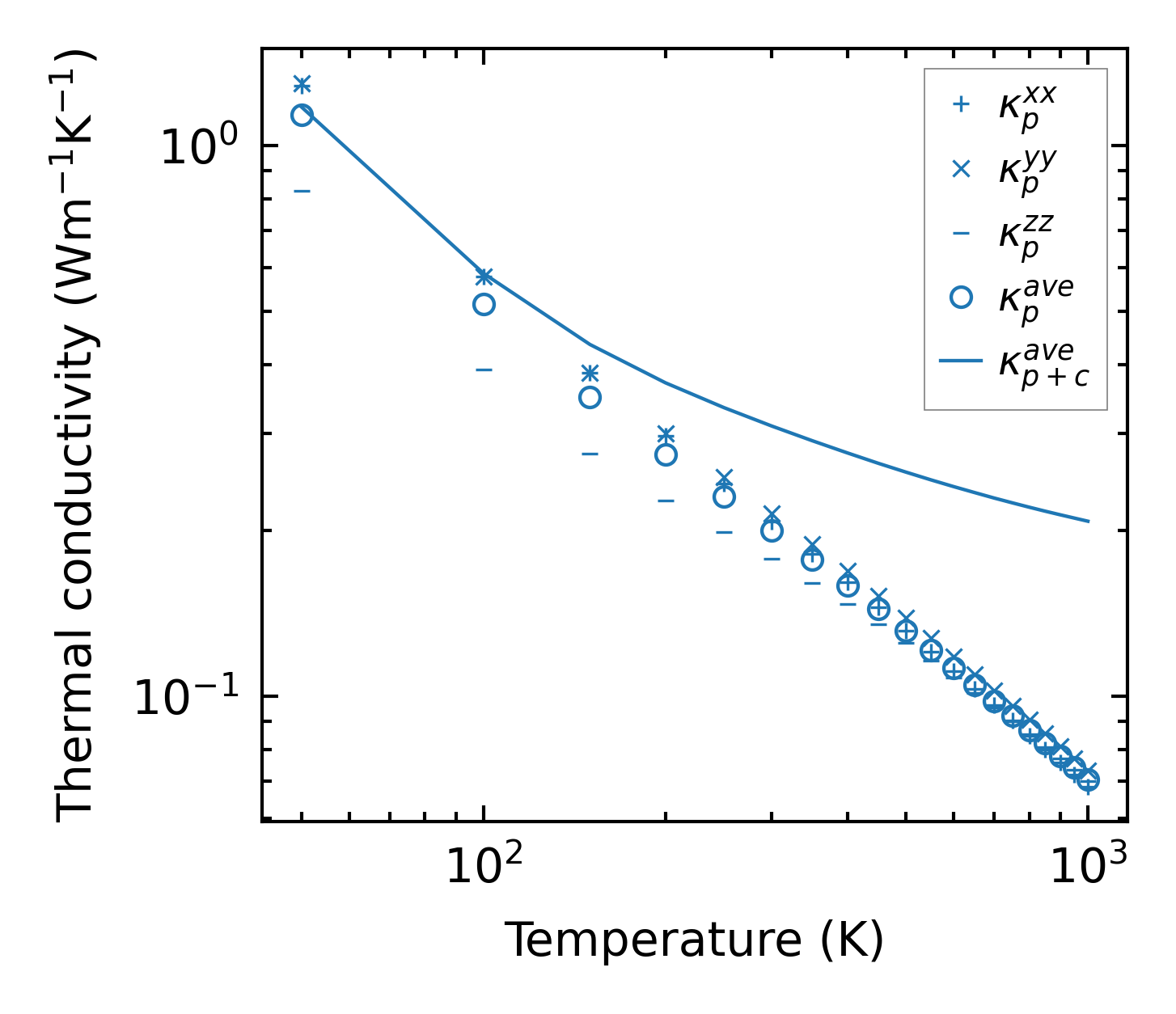
Summary

../../_images/fig_kappa11275.png

(a) Temperature-dependent lattice thermal conductivity

../../_images/fig_times23606.png

(b) Computation time