mp-16884/RbEr2Cu3Se5/anharm

Harmonic properties

../../_images/fig_bandos_pr14116.png

(a) Phonon dispersion with participation ratio and DOS

../../_images/fig_thermo14116.png

(b) Thermodynamic properties

Grüneisen parameters

../../_images/fig_gru_all5990.png

(a) Grüneisen parameters

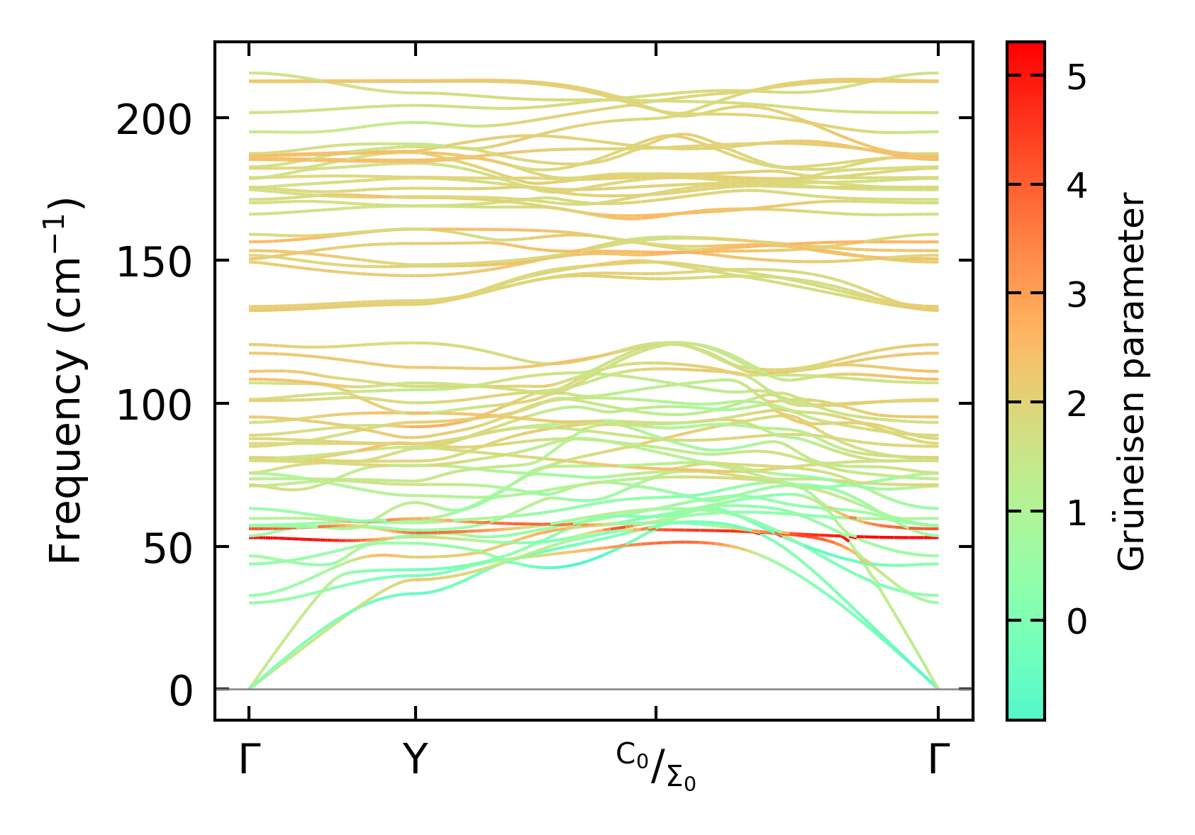
../../_images/fig_gruneisen5990.png

(b) Phonon dispersion with Grüneisen parameters

Thermal conductivity

3-phonon (LASSO) — q-mesh: 12x12x5, supercell: 3x1x1

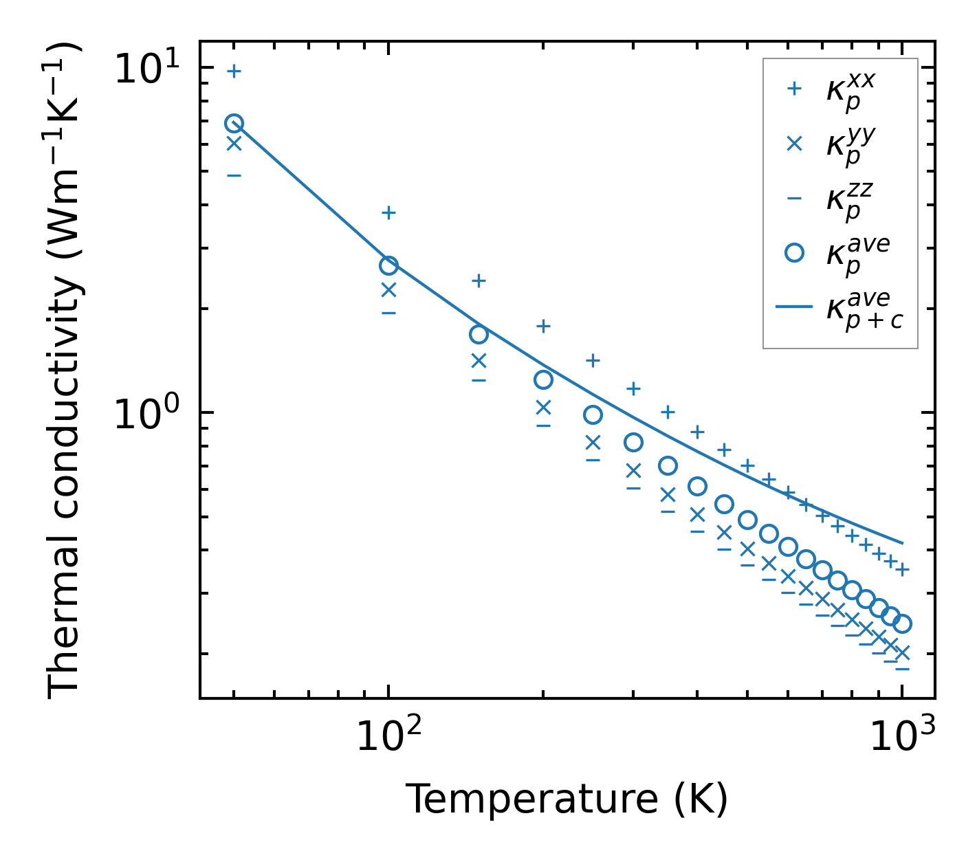
../../_images/fig_kappa11278.png

(a) Temperature-dependent lattice thermal conductivity

../../_images/fig_kappa_vs_grain_size6069.png

(b) Peierls lattice thermal conductivity w.r.t grain size

Phonon lifetime and scattering rates

../../_images/fig_lifetime5933.png

(a) Phonon lifetime due to phonon-phonon scattering

../../_images/fig_scat_rates5932.png

(b) Phonon scattering rates

Cumulative and spectral thermal conductivity

../../_images/fig_cumu_frequency5933.png

(a) Spectral and cumulative thermal conductivity w.r.t frequency

../../_images/fig_cumu_mfp5932.png

(b) Spectral and cumulative thermal conductivity w.r.t MFP

Force constants

../../_images/fig_fc213744.png

(a) Force constants w.r.t atomic distance

Summary

../../_images/fig_kappa11279.png

(a) Temperature-dependent lattice thermal conductivity

../../_images/fig_times23615.png

(b) Computation time