mp-16608/Si3Os2/anharm

Harmonic properties

../../_images/fig_bandos_pr14460.png

(a) Phonon dispersion with participation ratio and DOS

../../_images/fig_thermo14460.png

(b) Thermodynamic properties

Grüneisen parameters

../../_images/fig_gru_all6183.png

(a) Grüneisen parameters

../../_images/fig_gruneisen6183.png

(b) Phonon dispersion with Grüneisen parameters

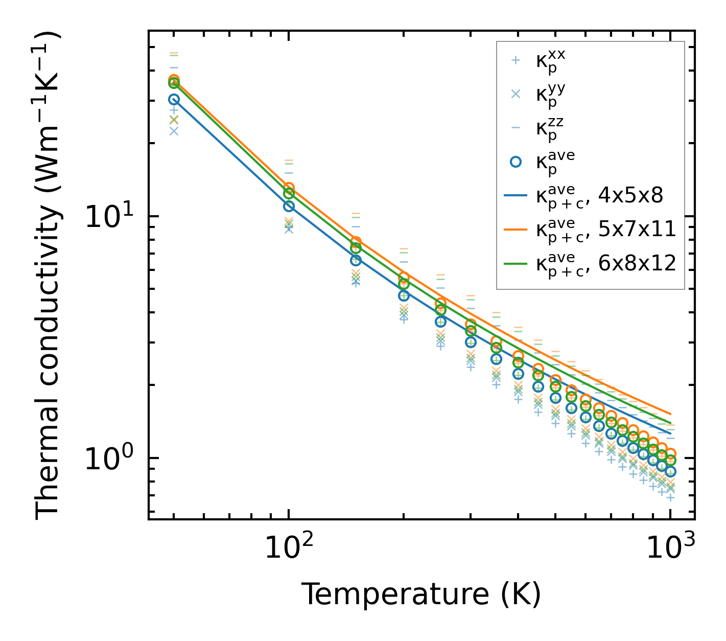
Thermal conductivity

3-phonon (LASSO) — q-mesh: 6x8x12, supercell: 1x1x2

../../_images/fig_kappa11632.png

(a) Temperature-dependent lattice thermal conductivity

../../_images/fig_kappa_vs_grain_size6261.png

(b) Peierls lattice thermal conductivity w.r.t grain size

Phonon lifetime and scattering rates

../../_images/fig_lifetime6122.png

(a) Phonon lifetime due to phonon-phonon scattering

../../_images/fig_scat_rates6121.png

(b) Phonon scattering rates

Cumulative and spectral thermal conductivity

../../_images/fig_cumu_frequency6122.png

(a) Spectral and cumulative thermal conductivity w.r.t frequency

../../_images/fig_cumu_mfp6121.png

(b) Spectral and cumulative thermal conductivity w.r.t MFP

Force constants

../../_images/fig_fc214080.png

(a) Force constants w.r.t atomic distance

Summary

../../_images/fig_kappa11633.png

(a) Temperature-dependent lattice thermal conductivity

../../_images/fig_times24075.png

(b) Computation time