mp-16945-2/Sr3Ga2N4/anharm

Equation of state

../../_images/fig_bm7081.png

(a) Equation of state

Harmonic properties

../../_images/fig_bandos_pr14133.png

(a) Phonon dispersion with participation ratio and DOS

../../_images/fig_thermo14133.png

(b) Thermodynamic properties

Grüneisen parameters

../../_images/fig_gru_all6001.png

(a) Grüneisen parameters

../../_images/fig_gruneisen6001.png

(b) Phonon dispersion with Grüneisen parameters

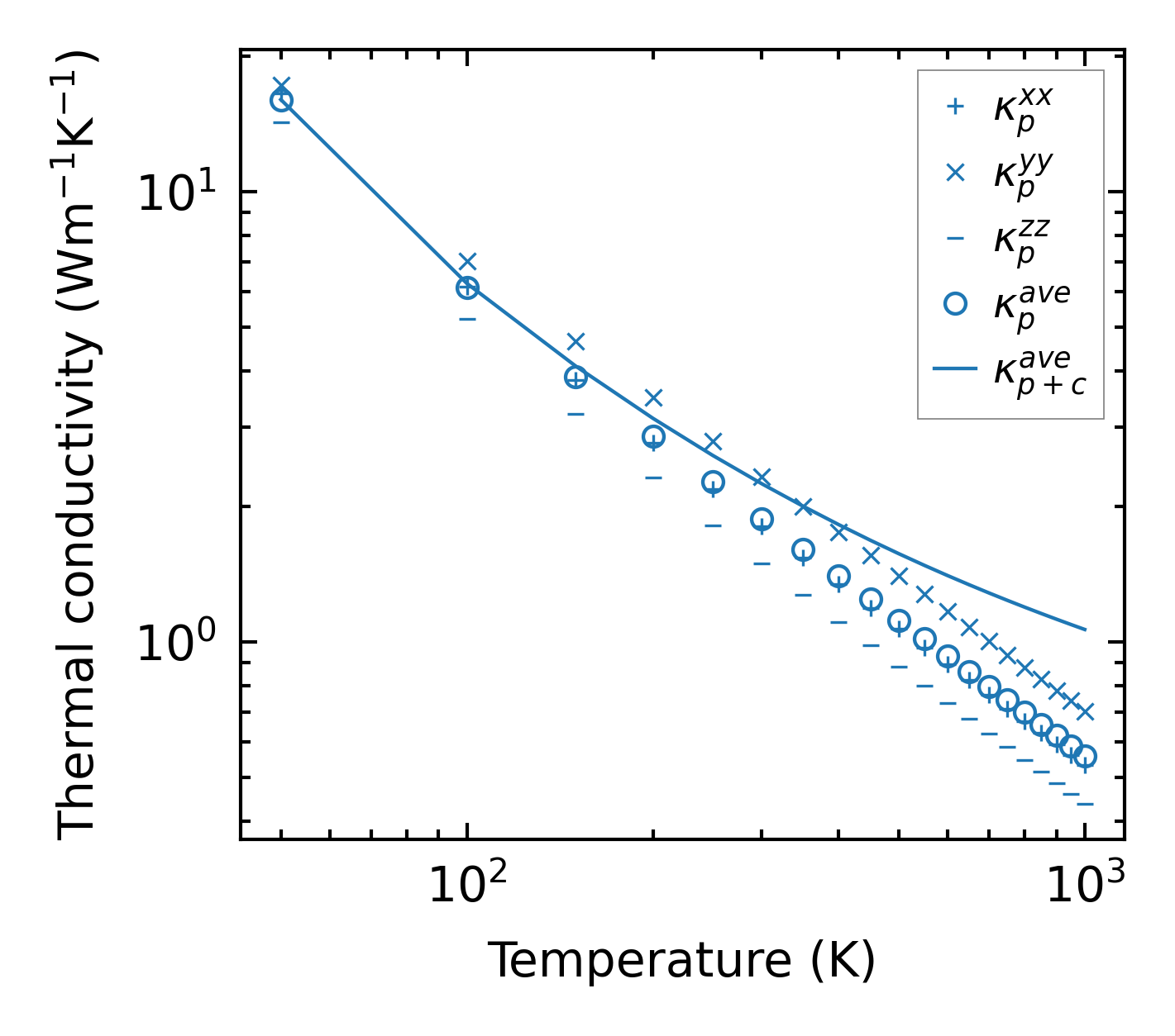
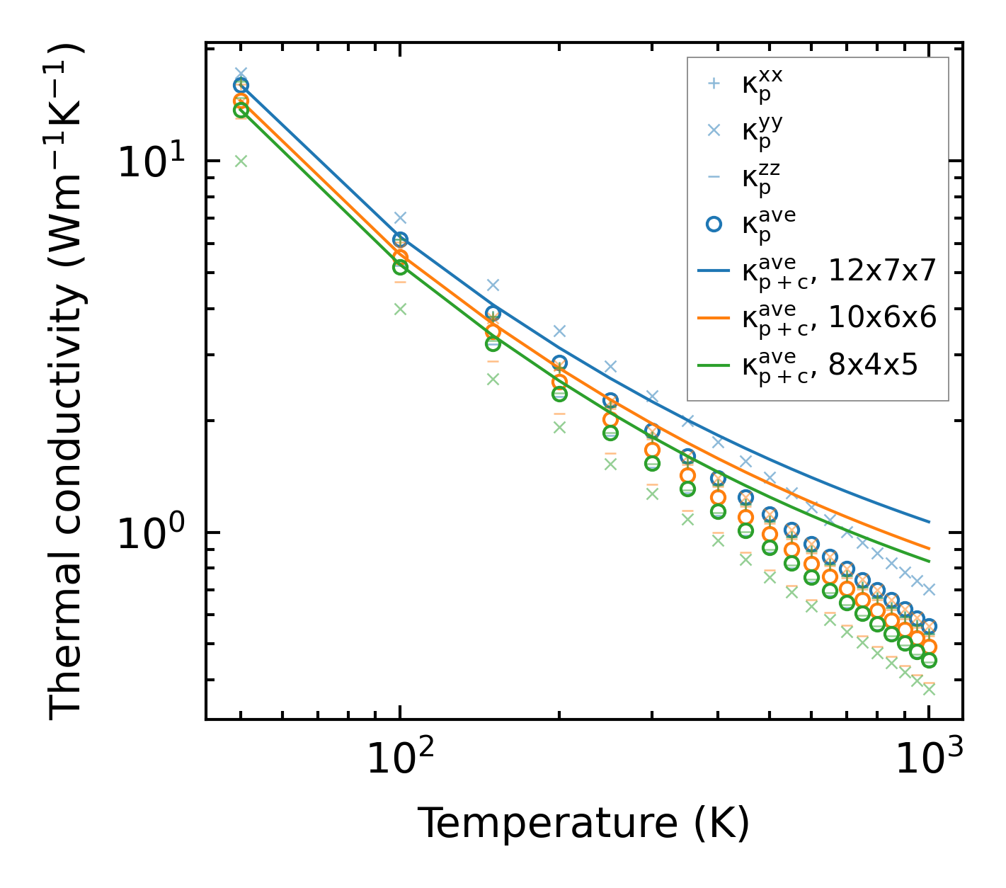
Thermal conductivity

3-phonon (LASSO) — q-mesh: 12x7x7, supercell: 2x1x2

../../_images/fig_kappa11297.png

(a) Temperature-dependent lattice thermal conductivity

../../_images/fig_kappa_vs_grain_size6080.png

(b) Peierls lattice thermal conductivity w.r.t grain size

Phonon lifetime and scattering rates

../../_images/fig_lifetime5944.png

(a) Phonon lifetime due to phonon-phonon scattering

../../_images/fig_scat_rates5943.png

(b) Phonon scattering rates

Cumulative and spectral thermal conductivity

../../_images/fig_cumu_frequency5944.png

(a) Spectral and cumulative thermal conductivity w.r.t frequency

../../_images/fig_cumu_mfp5943.png

(b) Spectral and cumulative thermal conductivity w.r.t MFP

Force constants

../../_images/fig_fc213761.png

(a) Force constants w.r.t atomic distance

Summary

../../_images/fig_kappa11298.png

(a) Temperature-dependent lattice thermal conductivity

../../_images/fig_times23640.png

(b) Computation time