mp-16454/BaPr2ZnS5/anharm

Harmonic properties

../../_images/fig_bandos_pr14439.png

(a) Phonon dispersion with participation ratio and DOS

../../_images/fig_thermo14439.png

(b) Thermodynamic properties

Grüneisen parameters

../../_images/fig_gru_all6171.png

(a) Grüneisen parameters

../../_images/fig_gruneisen6171.png

(b) Phonon dispersion with Grüneisen parameters

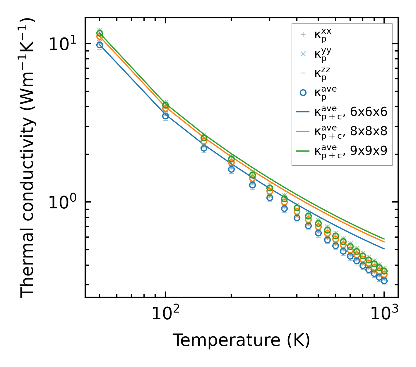
Thermal conductivity

3-phonon (LASSO) — q-mesh: 9x9x9, supercell: 2x2x1

../../_images/fig_kappa11610.png

(a) Temperature-dependent lattice thermal conductivity

../../_images/fig_kappa_vs_grain_size6249.png

(b) Peierls lattice thermal conductivity w.r.t grain size

Phonon lifetime and scattering rates

../../_images/fig_lifetime6110.png

(a) Phonon lifetime due to phonon-phonon scattering

../../_images/fig_scat_rates6109.png

(b) Phonon scattering rates

Cumulative and spectral thermal conductivity

../../_images/fig_cumu_frequency6110.png

(a) Spectral and cumulative thermal conductivity w.r.t frequency

../../_images/fig_cumu_mfp6109.png

(b) Spectral and cumulative thermal conductivity w.r.t MFP

Force constants

../../_images/fig_fc214059.png

(a) Force constants w.r.t atomic distance

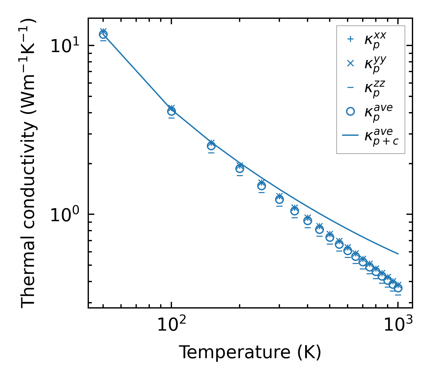
Summary

../../_images/fig_kappa11611.png

(a) Temperature-dependent lattice thermal conductivity

../../_images/fig_times24048.png

(b) Computation time