mp-24822/Na5Al3H14/anharm

Equation of state

../../_images/fig_bm5996.png

(a) Equation of state

Harmonic properties

../../_images/fig_bandos_pr12201.png

(a) Phonon dispersion with participation ratio and DOS

../../_images/fig_thermo12201.png

(b) Thermodynamic properties

Grüneisen parameters

../../_images/fig_gru_all5096.png

(a) Grüneisen parameters

../../_images/fig_gruneisen5096.png

(b) Phonon dispersion with Grüneisen parameters

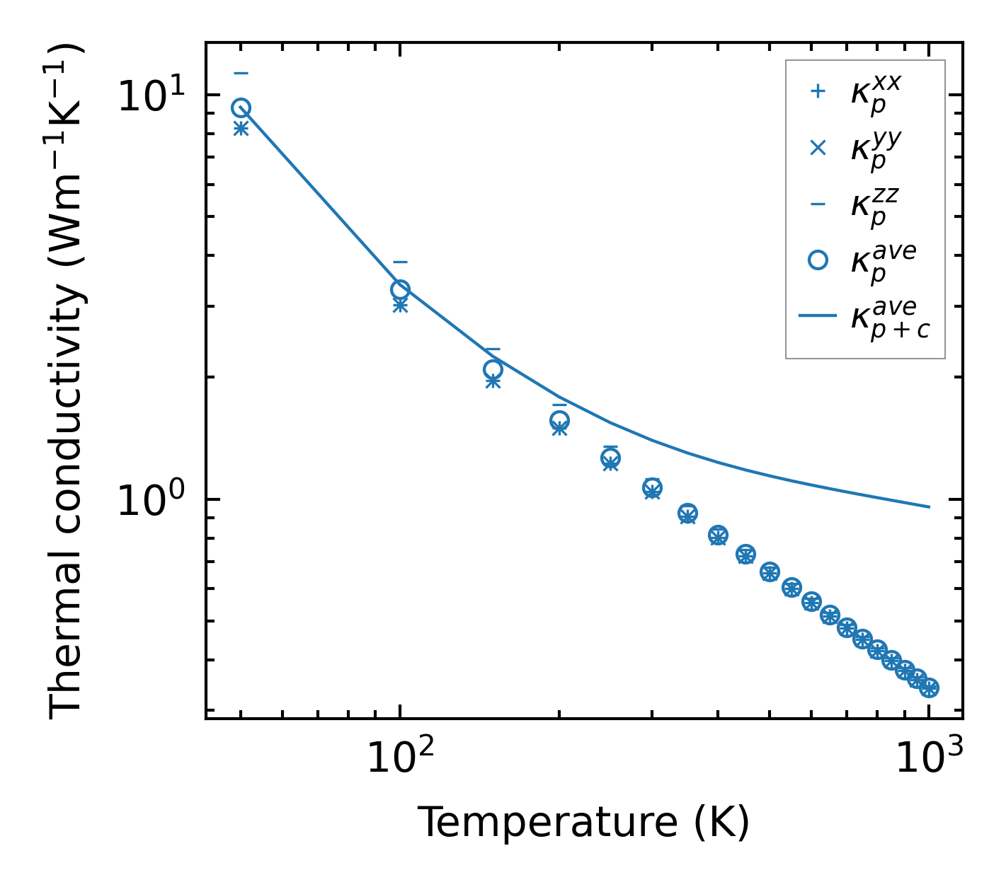
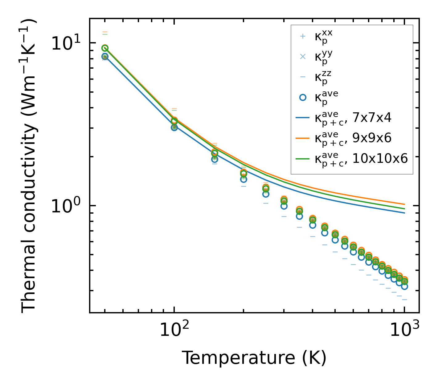
Thermal conductivity

3-phonon (LASSO) — q-mesh: 10x10x6, supercell: 1x1x1

../../_images/fig_kappa9591.png

(a) Temperature-dependent lattice thermal conductivity

../../_images/fig_kappa_vs_grain_size5156.png

(b) Peierls lattice thermal conductivity w.r.t grain size

Phonon lifetime and scattering rates

../../_images/fig_lifetime5046.png

(a) Phonon lifetime due to phonon-phonon scattering

../../_images/fig_scat_rates5045.png

(b) Phonon scattering rates

Cumulative and spectral thermal conductivity

../../_images/fig_cumu_frequency5046.png

(a) Spectral and cumulative thermal conductivity w.r.t frequency

../../_images/fig_cumu_mfp5045.png

(b) Spectral and cumulative thermal conductivity w.r.t MFP

Force constants

../../_images/fig_fc211900.png

(a) Force constants w.r.t atomic distance

Summary

../../_images/fig_kappa9592.png

(a) Temperature-dependent lattice thermal conductivity

../../_images/fig_times20687.png

(b) Computation time