mp-24662/Rb4Mg3H10/anharm

Harmonic properties

../../_images/fig_bandos_pr12465.png

(a) Phonon dispersion with participation ratio and DOS

../../_images/fig_thermo12465.png

(b) Thermodynamic properties

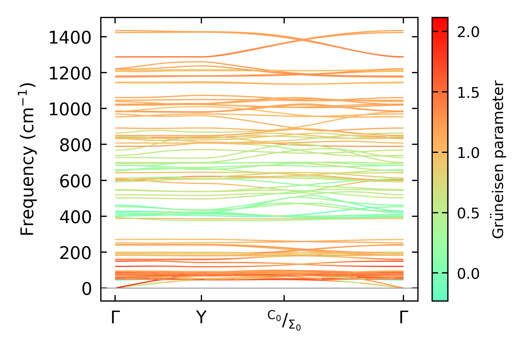
Grüneisen parameters

../../_images/fig_gru_all5171.png

(a) Grüneisen parameters

../../_images/fig_gruneisen5171.png

(b) Phonon dispersion with Grüneisen parameters

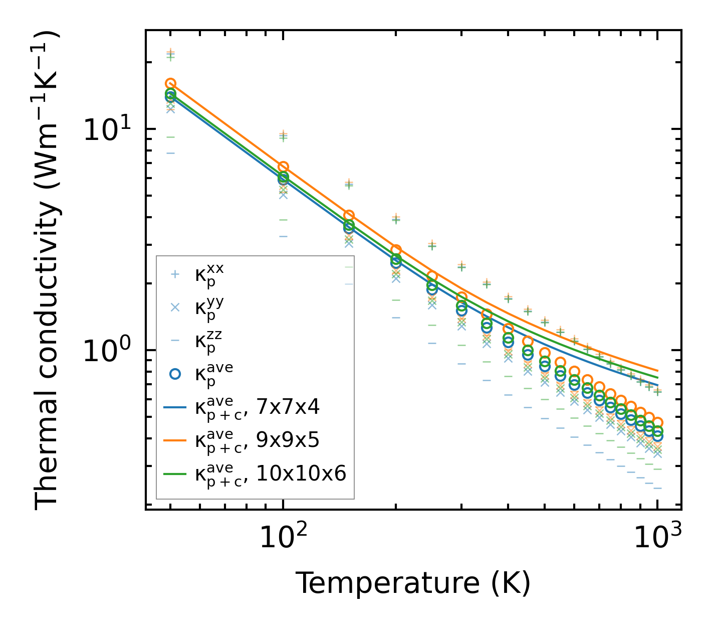
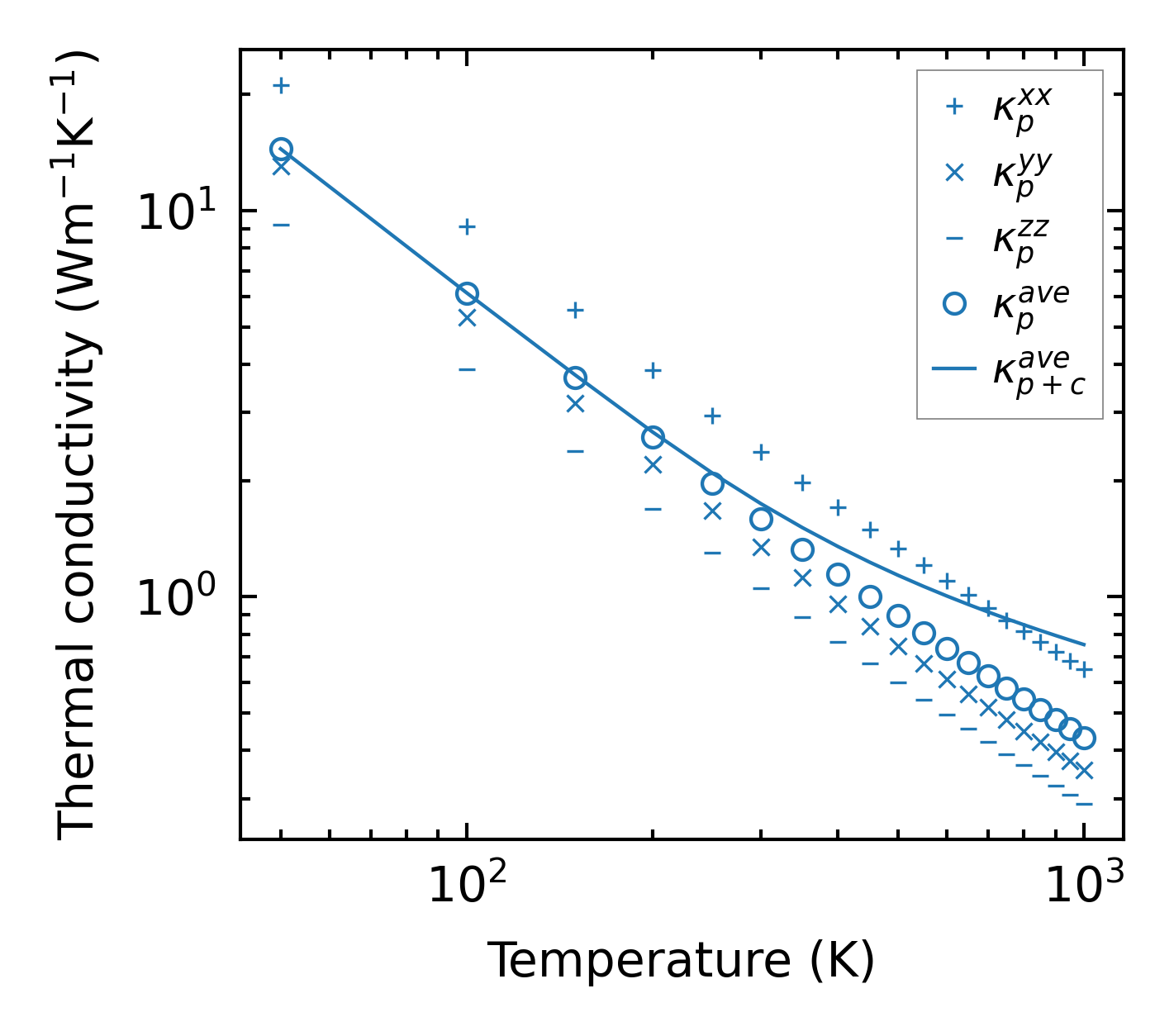
Thermal conductivity

3-phonon (LASSO) — q-mesh: 10x10x6, supercell: 2x1x1

../../_images/fig_kappa9727.png

(a) Temperature-dependent lattice thermal conductivity

../../_images/fig_kappa_vs_grain_size5232.png

(b) Peierls lattice thermal conductivity w.r.t grain size

Phonon lifetime and scattering rates

../../_images/fig_lifetime5120.png

(a) Phonon lifetime due to phonon-phonon scattering

../../_images/fig_scat_rates5119.png

(b) Phonon scattering rates

Cumulative and spectral thermal conductivity

../../_images/fig_cumu_frequency5120.png

(a) Spectral and cumulative thermal conductivity w.r.t frequency

../../_images/fig_cumu_mfp5119.png

(b) Spectral and cumulative thermal conductivity w.r.t MFP

Force constants

../../_images/fig_fc212164.png

(a) Force constants w.r.t atomic distance

Summary

../../_images/fig_kappa9728.png

(a) Temperature-dependent lattice thermal conductivity

../../_images/fig_times21184.png

(b) Computation time