mp-24093/CuH/anharm

Harmonic properties

../../_images/fig_bandos_pr12331.png

(a) Phonon dispersion with participation ratio and DOS

../../_images/fig_thermo12331.png

(b) Thermodynamic properties

Grüneisen parameters

../../_images/fig_gru_all5132.png

(a) Grüneisen parameters

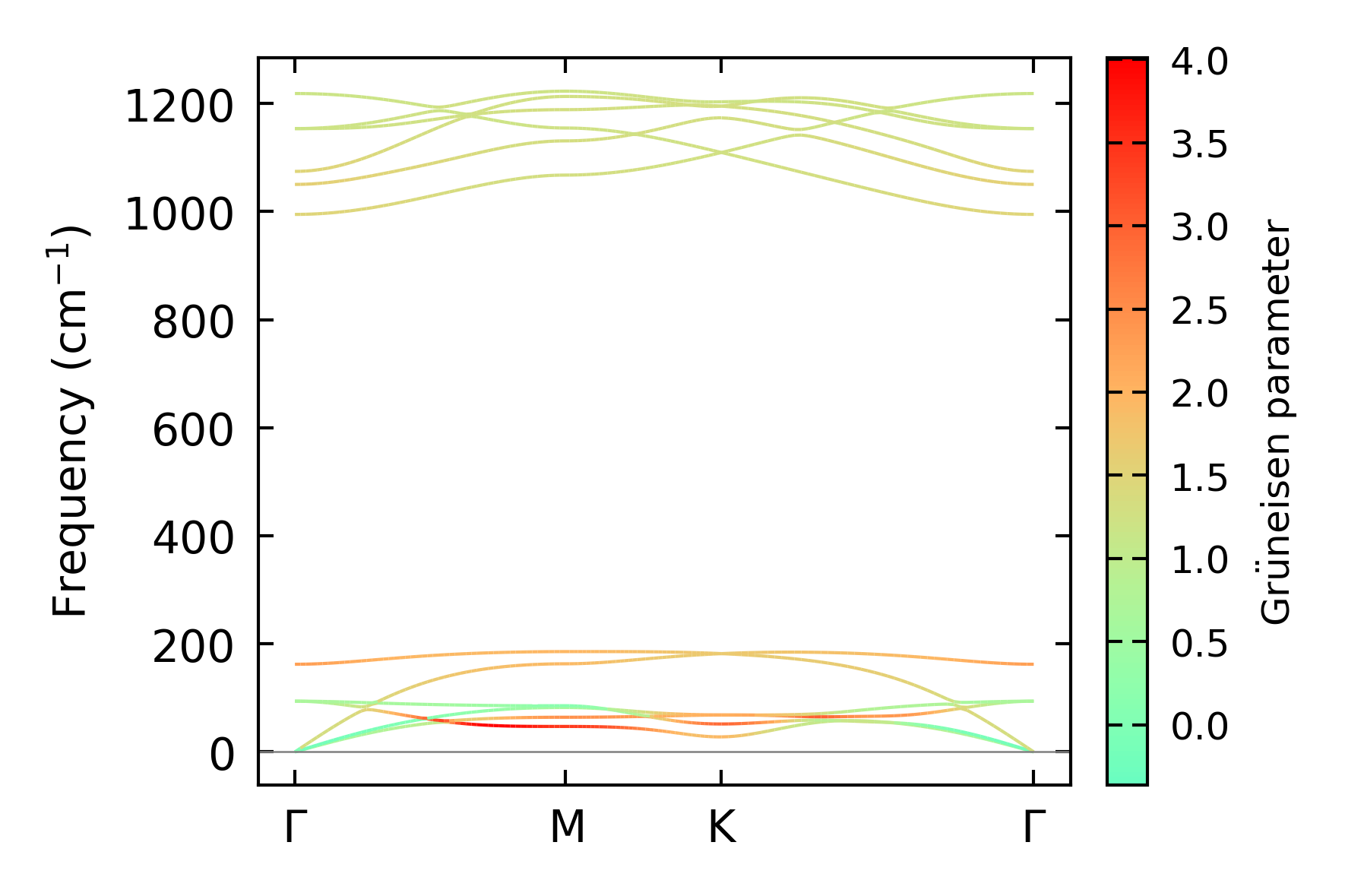
../../_images/fig_gruneisen5132.png

(b) Phonon dispersion with Grüneisen parameters

Thermal conductivity

3-phonon (LASSO) — q-mesh: 26x26x16, supercell: 4x4x2

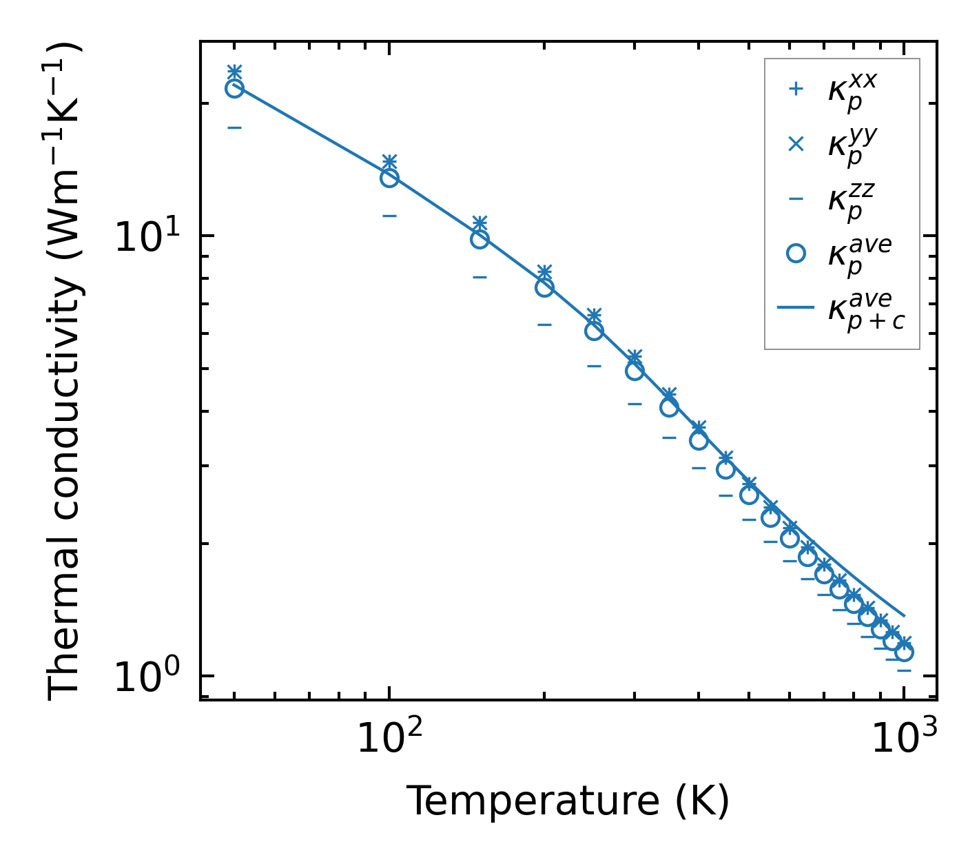
../../_images/fig_kappa9655.png

(a) Temperature-dependent lattice thermal conductivity

../../_images/fig_kappa_vs_grain_size5192.png

(b) Peierls lattice thermal conductivity w.r.t grain size

Phonon lifetime and scattering rates

../../_images/fig_lifetime5081.png

(a) Phonon lifetime due to phonon-phonon scattering

../../_images/fig_scat_rates5080.png

(b) Phonon scattering rates

Cumulative and spectral thermal conductivity

../../_images/fig_cumu_frequency5081.png

(a) Spectral and cumulative thermal conductivity w.r.t frequency

../../_images/fig_cumu_mfp5080.png

(b) Spectral and cumulative thermal conductivity w.r.t MFP

Force constants

../../_images/fig_fc212030.png

(a) Force constants w.r.t atomic distance

Summary

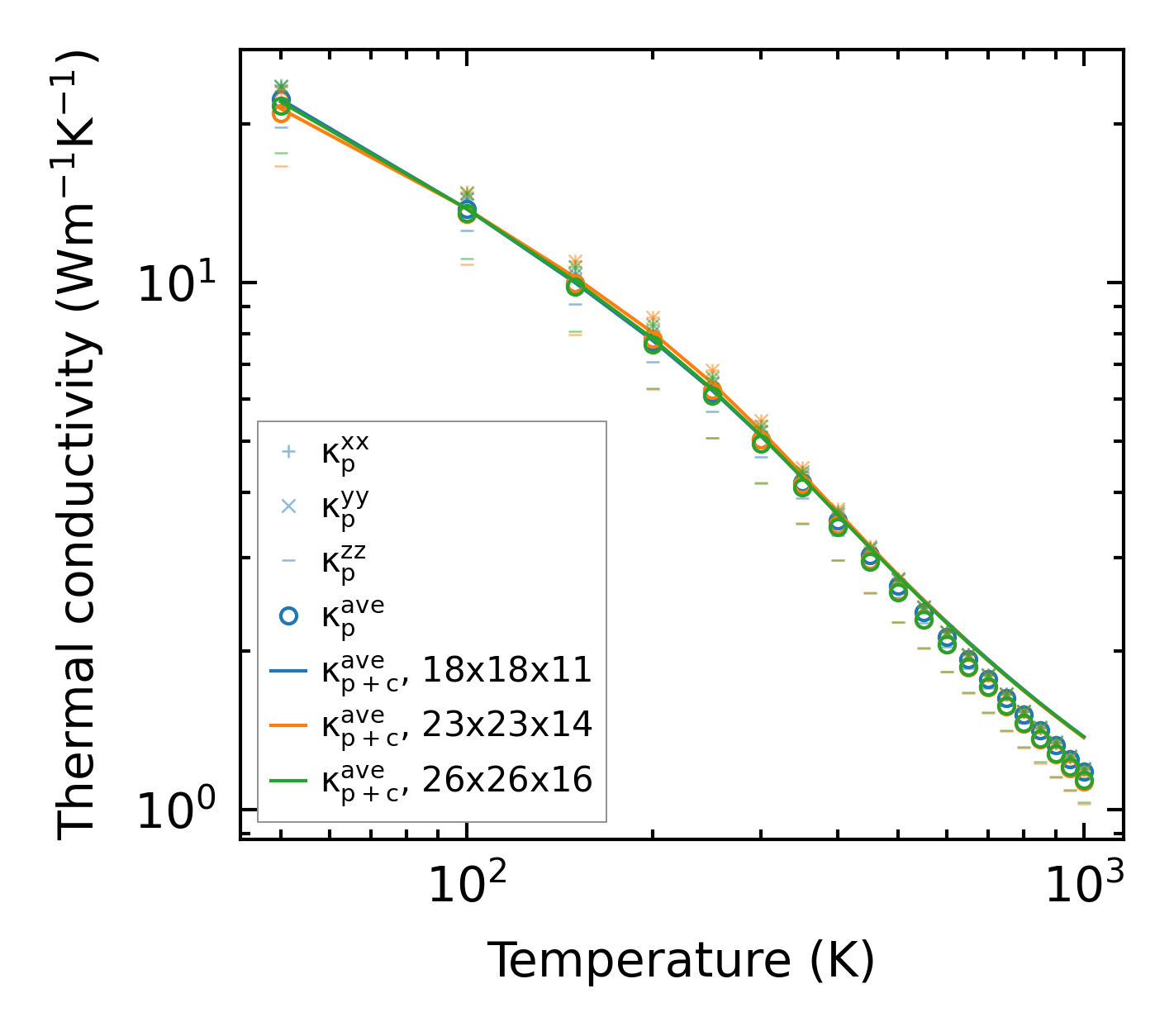
../../_images/fig_kappa9656.png

(a) Temperature-dependent lattice thermal conductivity

../../_images/fig_times20926.png

(b) Computation time