mp-24090/BaH4I2O2/anharm

Harmonic properties

../../_images/fig_bandos_pr12628.png

(a) Phonon dispersion with participation ratio and DOS

../../_images/fig_thermo12628.png

(b) Thermodynamic properties

Grüneisen parameters

../../_images/fig_gru_all5230.png

(a) Grüneisen parameters

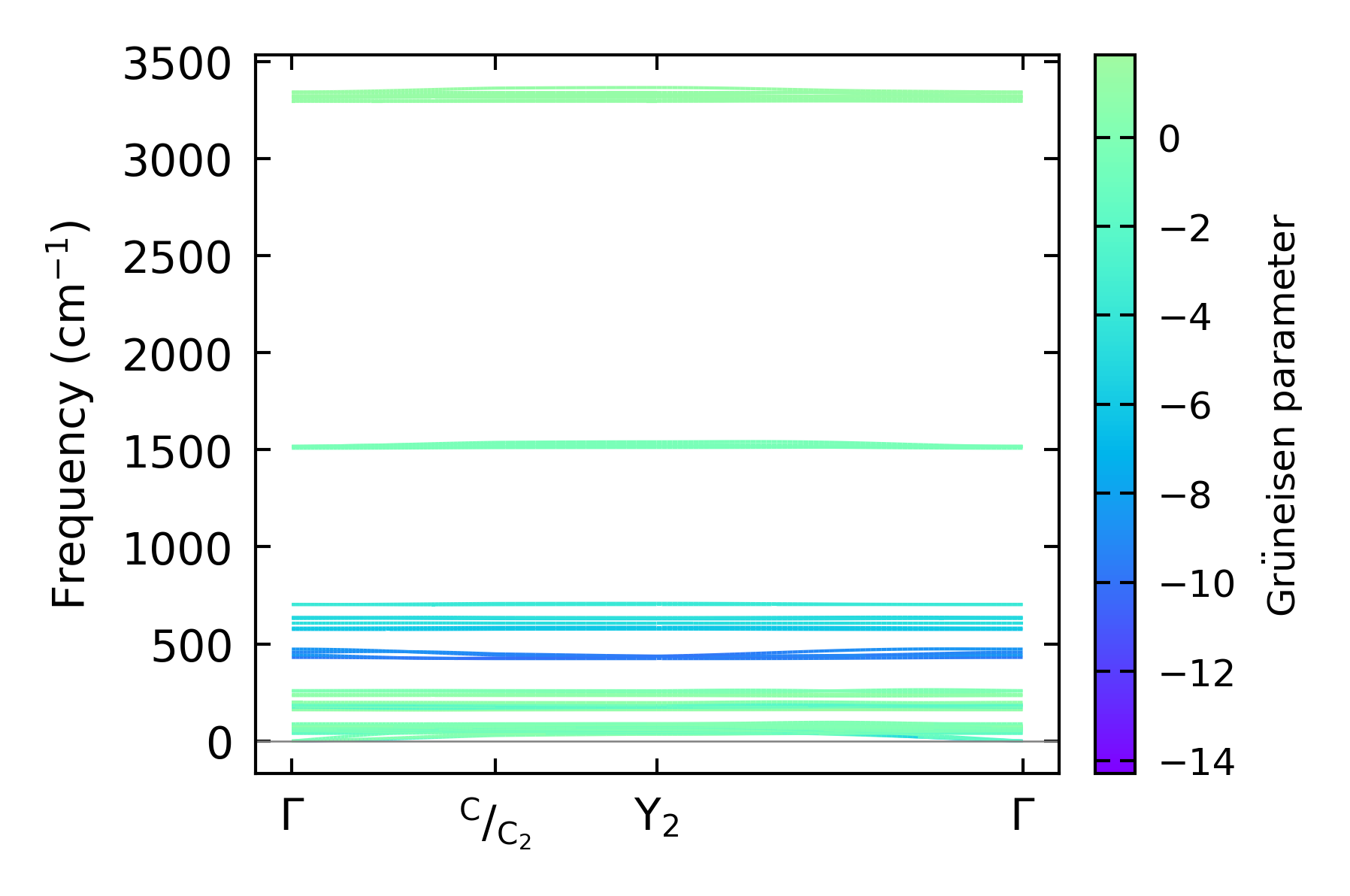
../../_images/fig_gruneisen5230.png

(b) Phonon dispersion with Grüneisen parameters

Thermal conductivity

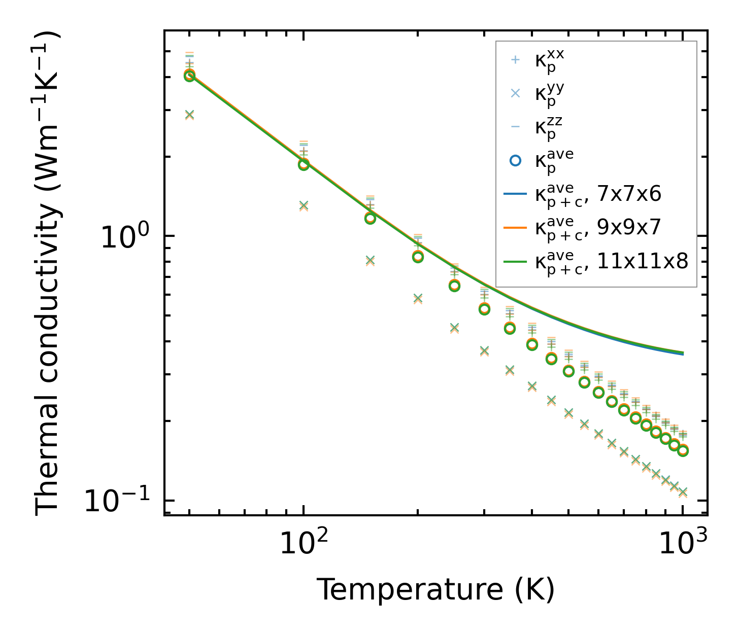
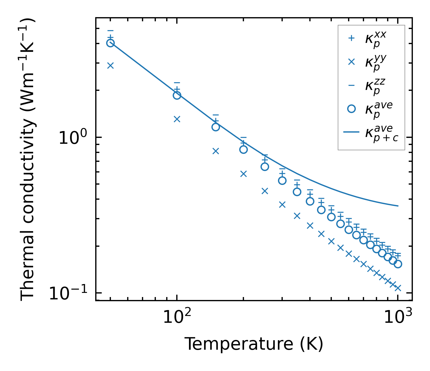
3-phonon (LASSO) — q-mesh: 11x11x8, supercell: 1x2x2

../../_images/fig_kappa9831.png

(a) Temperature-dependent lattice thermal conductivity

../../_images/fig_kappa_vs_grain_size5292.png

(b) Peierls lattice thermal conductivity w.r.t grain size

Phonon lifetime and scattering rates

../../_images/fig_lifetime5179.png

(a) Phonon lifetime due to phonon-phonon scattering

../../_images/fig_scat_rates5178.png

(b) Phonon scattering rates

Cumulative and spectral thermal conductivity

../../_images/fig_cumu_frequency5179.png

(a) Spectral and cumulative thermal conductivity w.r.t frequency

../../_images/fig_cumu_mfp5178.png

(b) Spectral and cumulative thermal conductivity w.r.t MFP

Force constants

../../_images/fig_fc212325.png

(a) Force constants w.r.t atomic distance

Summary

../../_images/fig_kappa9832.png

(a) Temperature-dependent lattice thermal conductivity

../../_images/fig_times21456.png

(b) Computation time