mp-24239/KB6H6/anharm

Harmonic properties

../../_images/fig_bandos_pr12377.png

(a) Phonon dispersion with participation ratio and DOS

../../_images/fig_thermo12377.png

(b) Thermodynamic properties

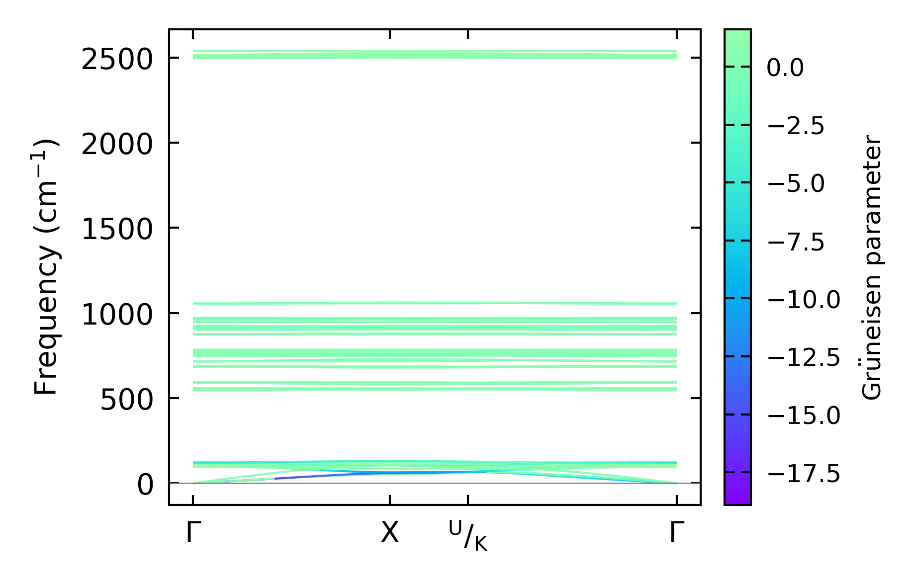
Grüneisen parameters

../../_images/fig_gru_all5147.png

(a) Grüneisen parameters

../../_images/fig_gruneisen5147.png

(b) Phonon dispersion with Grüneisen parameters

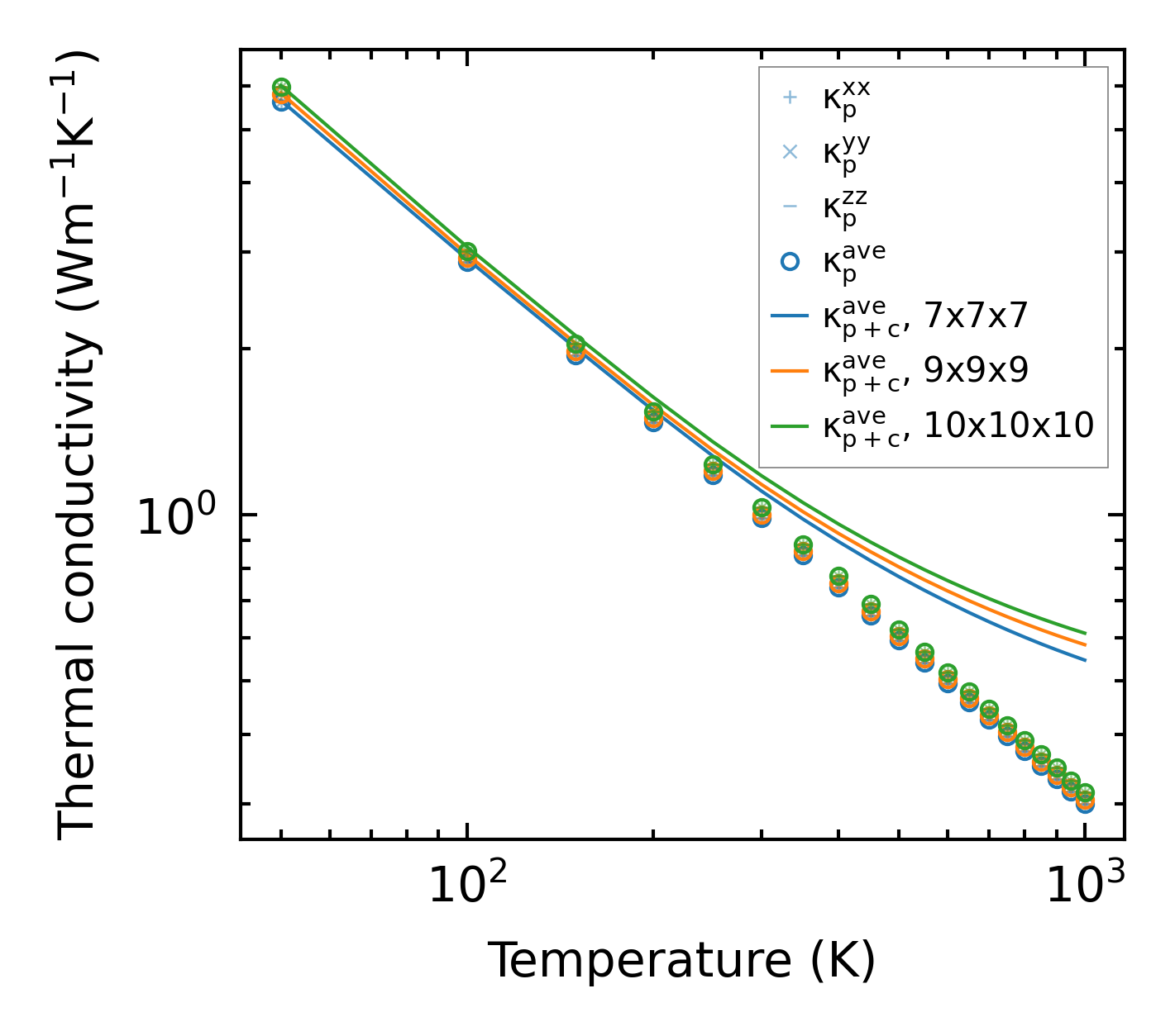
Thermal conductivity

3-phonon (LASSO) — q-mesh: 10x10x10, supercell: 1x1x1

../../_images/fig_kappa9681.png

(a) Temperature-dependent lattice thermal conductivity

../../_images/fig_kappa_vs_grain_size5207.png

(b) Peierls lattice thermal conductivity w.r.t grain size

Phonon lifetime and scattering rates

../../_images/fig_lifetime5096.png

(a) Phonon lifetime due to phonon-phonon scattering

../../_images/fig_scat_rates5095.png

(b) Phonon scattering rates

Cumulative and spectral thermal conductivity

../../_images/fig_cumu_frequency5096.png

(a) Spectral and cumulative thermal conductivity w.r.t frequency

../../_images/fig_cumu_mfp5095.png

(b) Spectral and cumulative thermal conductivity w.r.t MFP

Force constants

../../_images/fig_fc212076.png

(a) Force constants w.r.t atomic distance

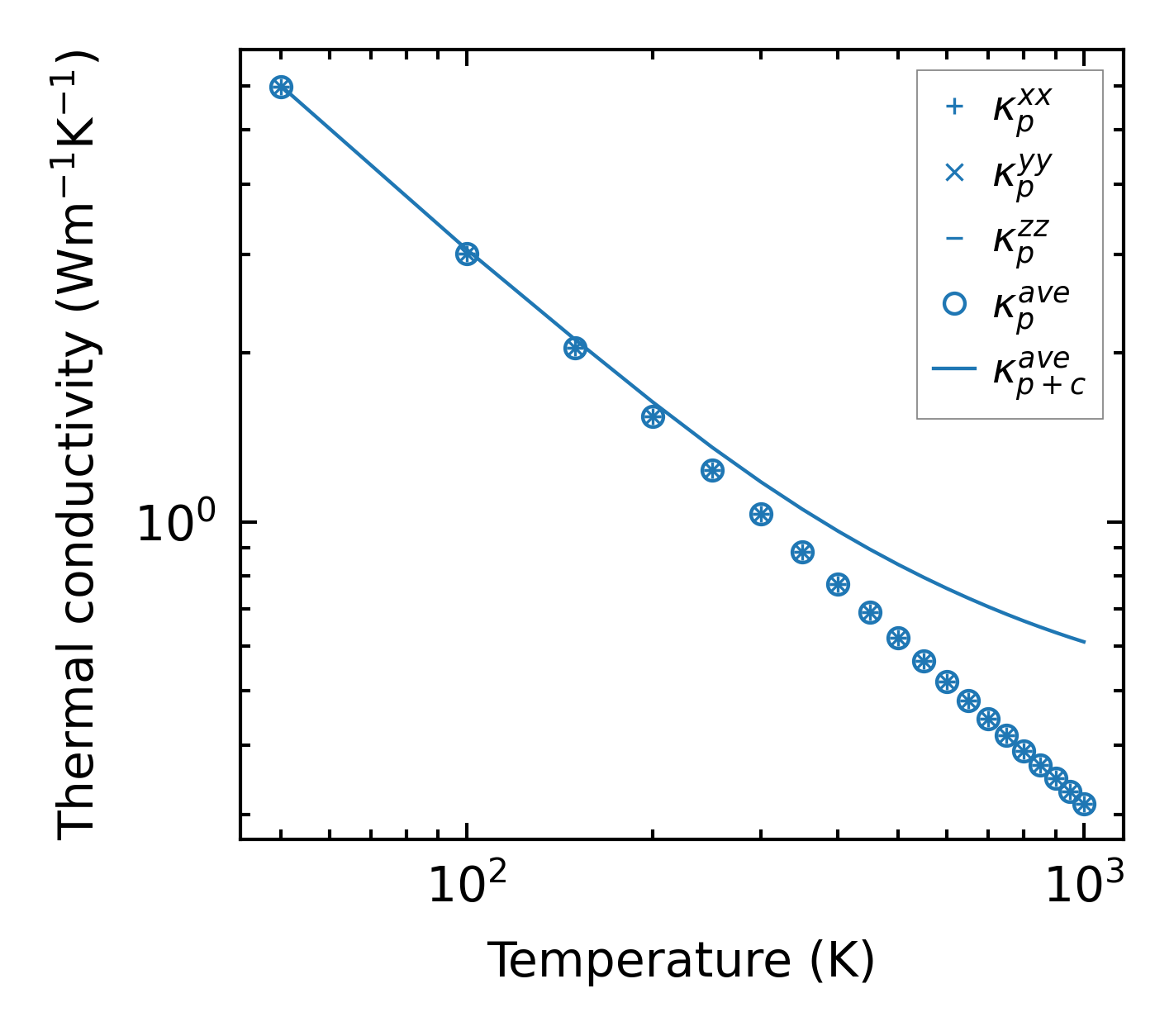
Summary

../../_images/fig_kappa9682.png

(a) Temperature-dependent lattice thermal conductivity

../../_images/fig_times21000.png

(b) Computation time