mp-24142/MgAlH4O2F5/anharm

Harmonic properties

../../_images/fig_bandos_pr12349.png

(a) Phonon dispersion with participation ratio and DOS

../../_images/fig_thermo12349.png

(b) Thermodynamic properties

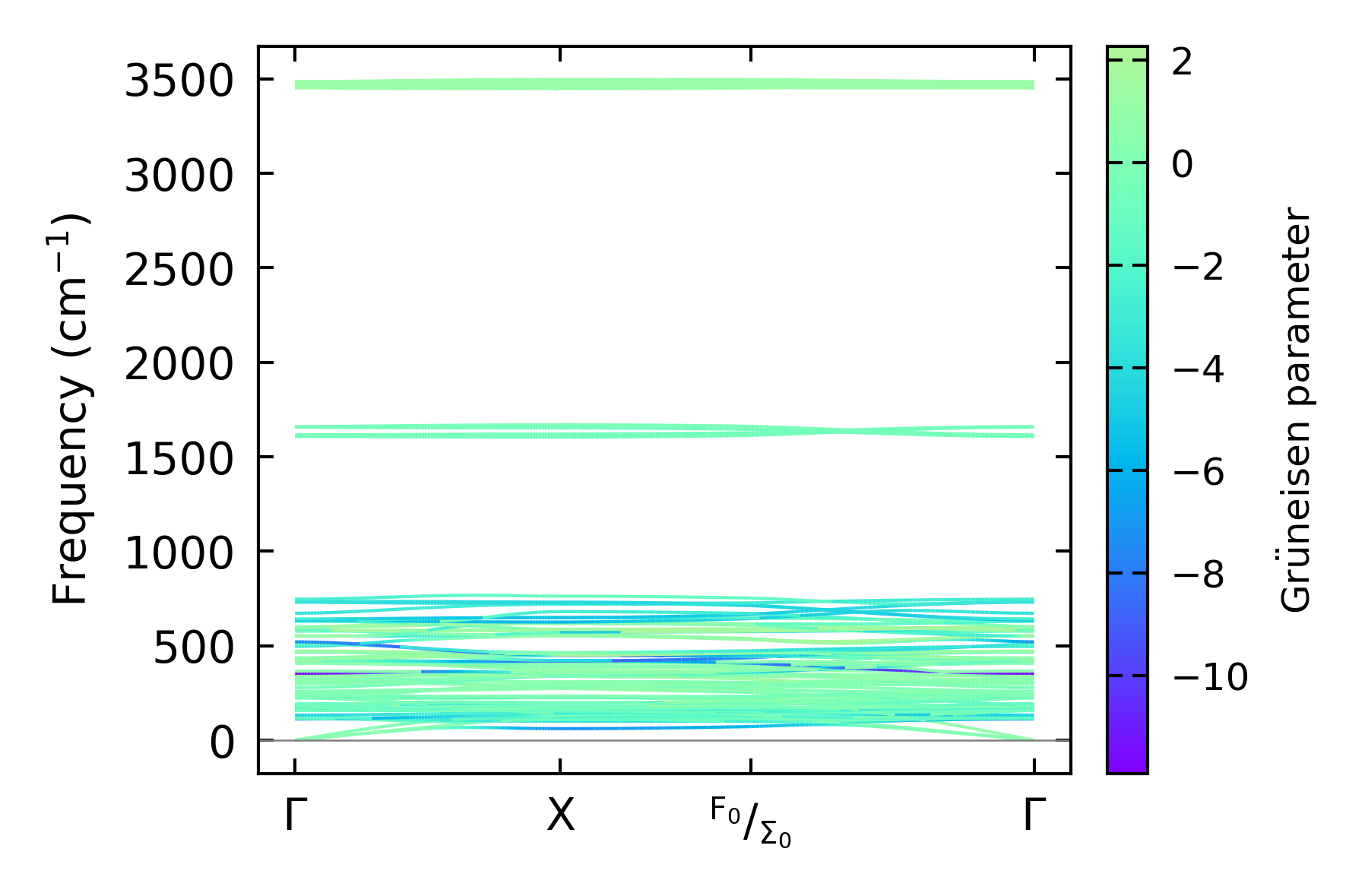
Grüneisen parameters

../../_images/fig_gru_all5138.png

(a) Grüneisen parameters

../../_images/fig_gruneisen5138.png

(b) Phonon dispersion with Grüneisen parameters

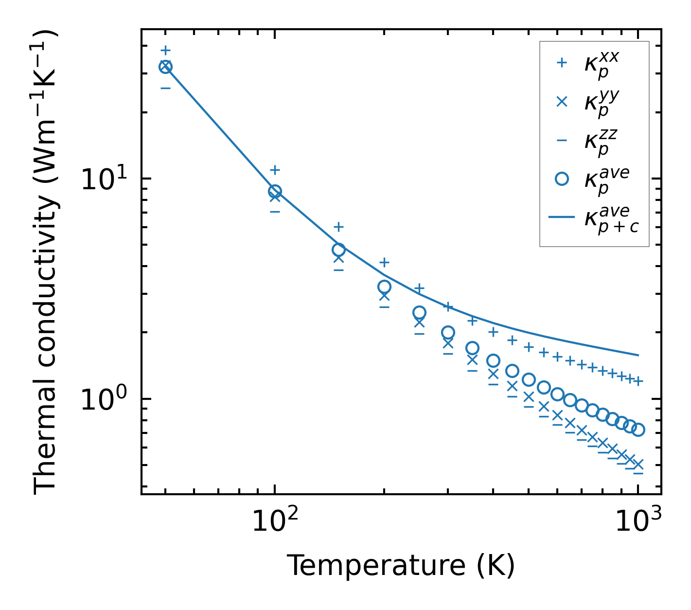
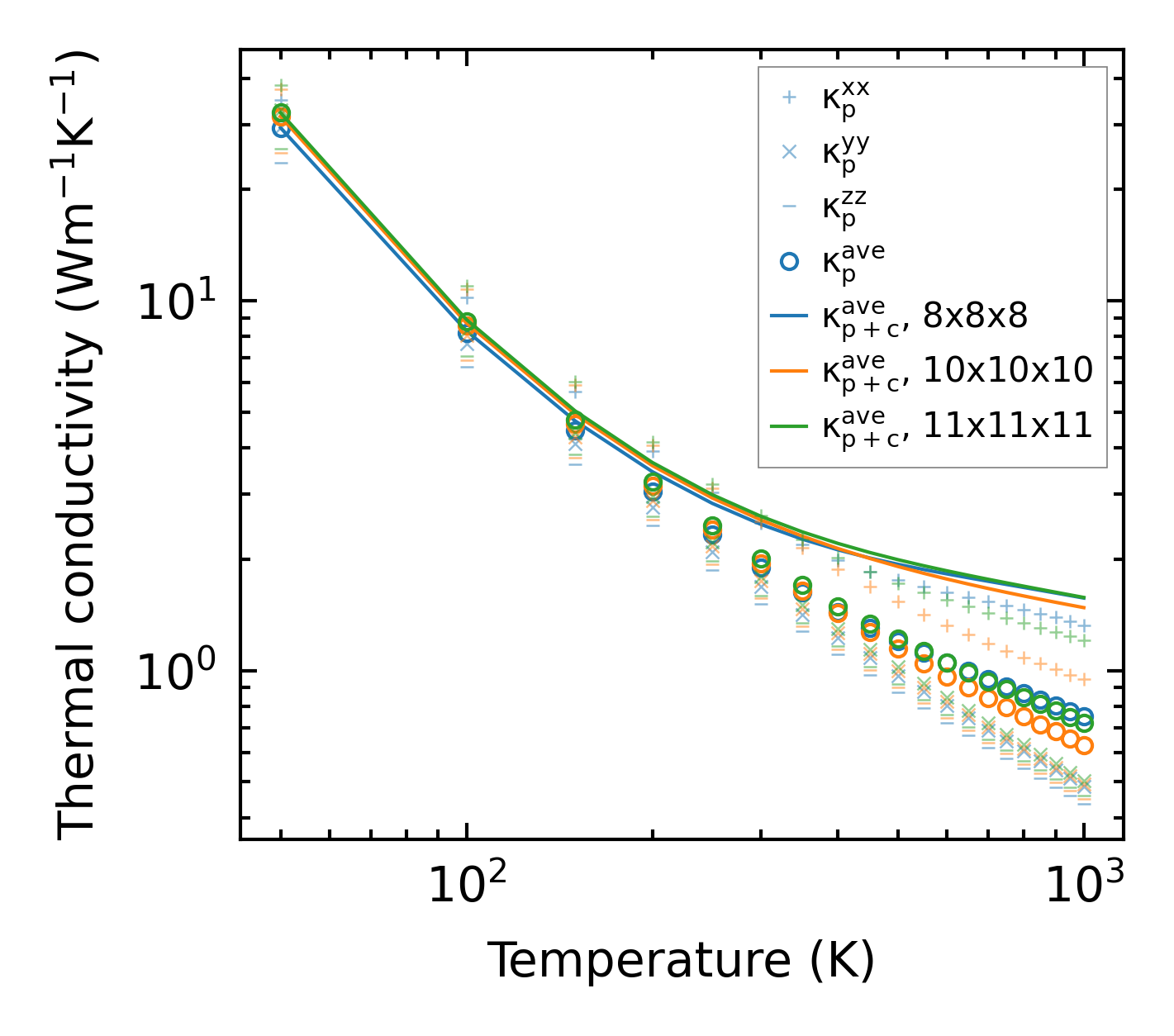
Thermal conductivity

3-phonon (LASSO) — q-mesh: 11x11x11, supercell: 1x1x2

../../_images/fig_kappa9665.png

(a) Temperature-dependent lattice thermal conductivity

../../_images/fig_kappa_vs_grain_size5198.png

(b) Peierls lattice thermal conductivity w.r.t grain size

Phonon lifetime and scattering rates

../../_images/fig_lifetime5087.png

(a) Phonon lifetime due to phonon-phonon scattering

../../_images/fig_scat_rates5086.png

(b) Phonon scattering rates

Cumulative and spectral thermal conductivity

../../_images/fig_cumu_frequency5087.png

(a) Spectral and cumulative thermal conductivity w.r.t frequency

../../_images/fig_cumu_mfp5086.png

(b) Spectral and cumulative thermal conductivity w.r.t MFP

Force constants

../../_images/fig_fc212048.png

(a) Force constants w.r.t atomic distance

Summary

../../_images/fig_kappa9666.png

(a) Temperature-dependent lattice thermal conductivity

../../_images/fig_times20955.png

(b) Computation time