mp-24150/LiNd2HO3/anharm

Harmonic properties

../../_images/fig_bandos_pr12353.png

(a) Phonon dispersion with participation ratio and DOS

../../_images/fig_thermo12353.png

(b) Thermodynamic properties

Grüneisen parameters

../../_images/fig_gru_all5140.png

(a) Grüneisen parameters

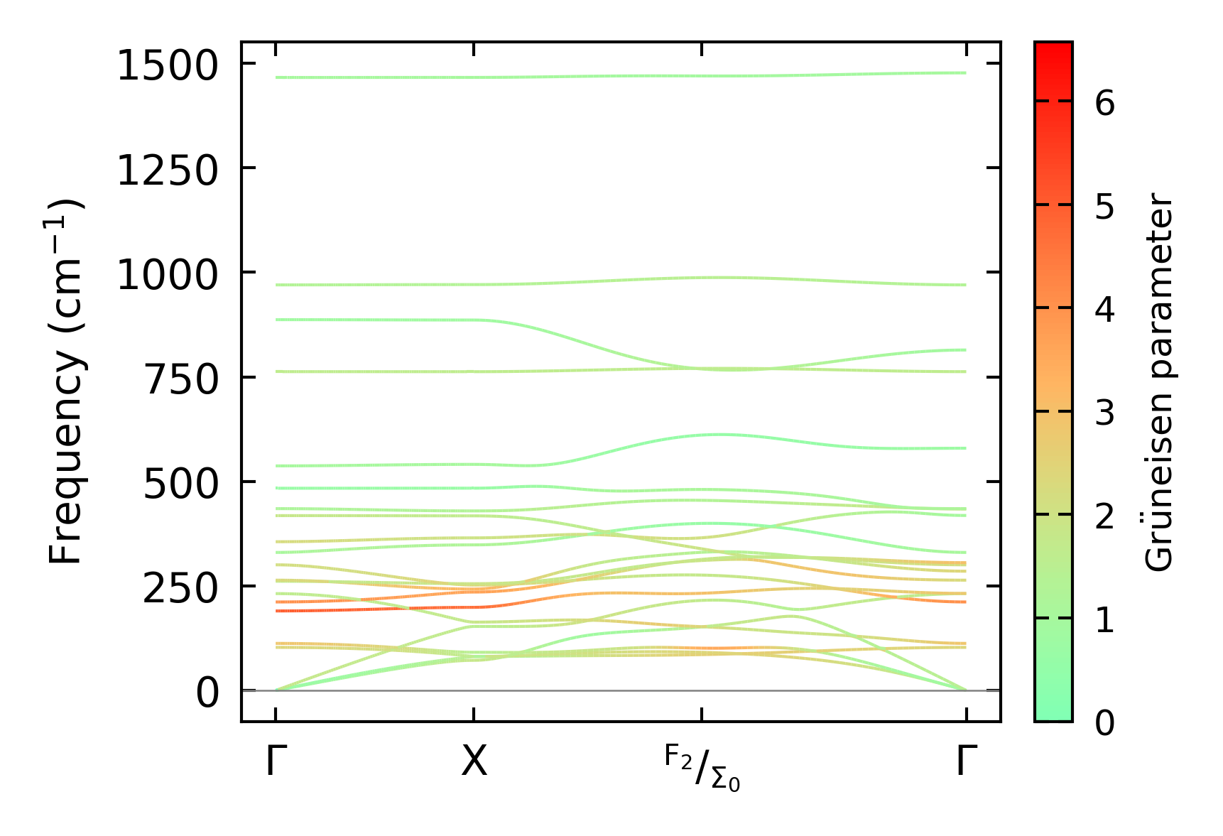
../../_images/fig_gruneisen5140.png

(b) Phonon dispersion with Grüneisen parameters

Thermal conductivity

3-phonon (LASSO) — q-mesh: 16x16x16, supercell: 3x3x1

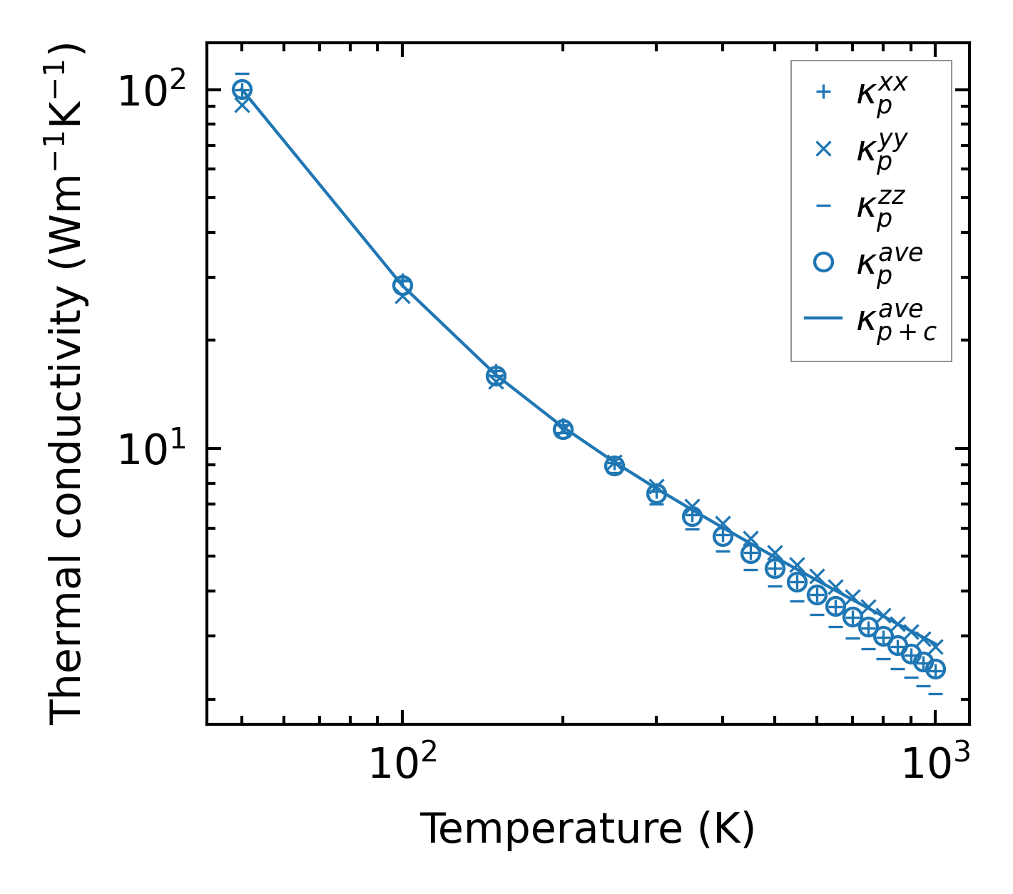
../../_images/fig_kappa9669.png

(a) Temperature-dependent lattice thermal conductivity

../../_images/fig_kappa_vs_grain_size5200.png

(b) Peierls lattice thermal conductivity w.r.t grain size

Phonon lifetime and scattering rates

../../_images/fig_lifetime5089.png

(a) Phonon lifetime due to phonon-phonon scattering

../../_images/fig_scat_rates5088.png

(b) Phonon scattering rates

Cumulative and spectral thermal conductivity

../../_images/fig_cumu_frequency5089.png

(a) Spectral and cumulative thermal conductivity w.r.t frequency

../../_images/fig_cumu_mfp5088.png

(b) Spectral and cumulative thermal conductivity w.r.t MFP

Force constants

../../_images/fig_fc212052.png

(a) Force constants w.r.t atomic distance

Summary

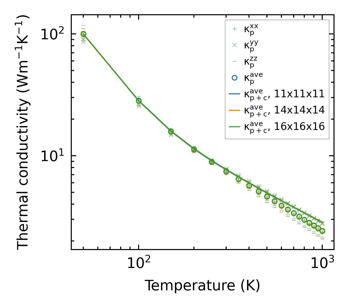
../../_images/fig_kappa9670.png

(a) Temperature-dependent lattice thermal conductivity

../../_images/fig_times20959.png

(b) Computation time