mp-24422/CaHBr/anharm

Harmonic properties

../../_images/fig_bandos_pr12412.png

(a) Phonon dispersion with participation ratio and DOS

../../_images/fig_thermo12412.png

(b) Thermodynamic properties

Grüneisen parameters

../../_images/fig_gru_all5160.png

(a) Grüneisen parameters

../../_images/fig_gruneisen5160.png

(b) Phonon dispersion with Grüneisen parameters

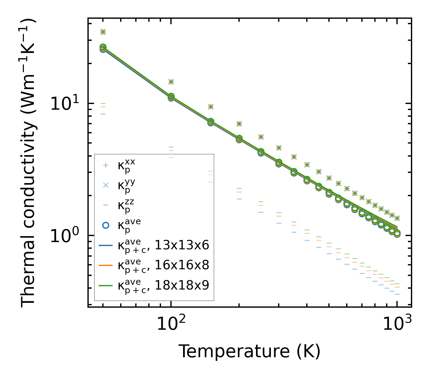
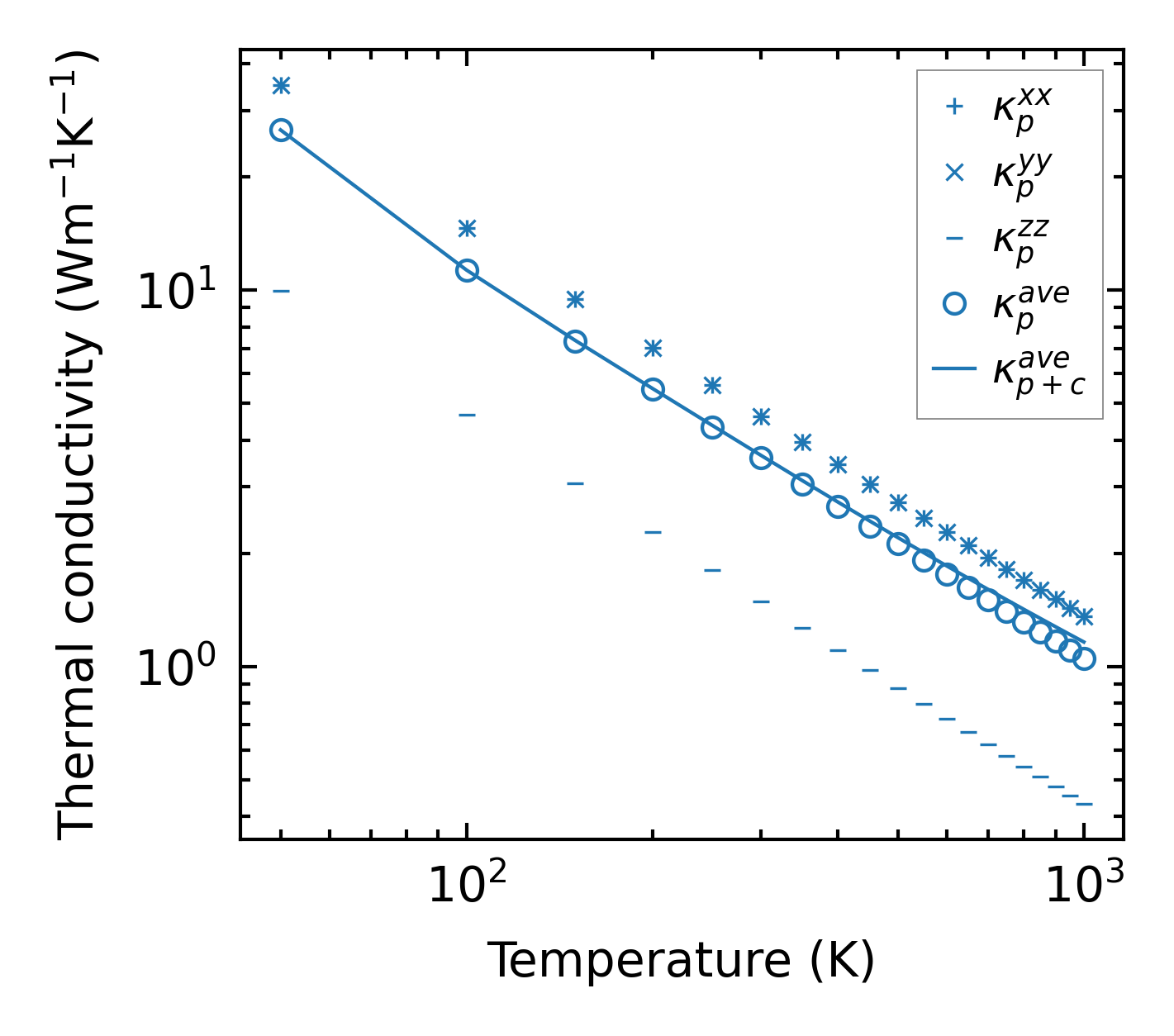
Thermal conductivity

3-phonon (LASSO) — q-mesh: 18x18x9, supercell: 3x3x2

../../_images/fig_kappa9705.png

(a) Temperature-dependent lattice thermal conductivity

../../_images/fig_kappa_vs_grain_size5220.png

(b) Peierls lattice thermal conductivity w.r.t grain size

Phonon lifetime and scattering rates

../../_images/fig_lifetime5109.png

(a) Phonon lifetime due to phonon-phonon scattering

../../_images/fig_scat_rates5108.png

(b) Phonon scattering rates

Cumulative and spectral thermal conductivity

../../_images/fig_cumu_frequency5109.png

(a) Spectral and cumulative thermal conductivity w.r.t frequency

../../_images/fig_cumu_mfp5108.png

(b) Spectral and cumulative thermal conductivity w.r.t MFP

Force constants

../../_images/fig_fc212111.png

(a) Force constants w.r.t atomic distance

Summary

../../_images/fig_kappa9706.png

(a) Temperature-dependent lattice thermal conductivity

../../_images/fig_times21085.png

(b) Computation time