mp-24136/CsB6H6/anharm

Harmonic properties

../../_images/fig_bandos_pr12348.png

(a) Phonon dispersion with participation ratio and DOS

../../_images/fig_thermo12348.png

(b) Thermodynamic properties

Grüneisen parameters

../../_images/fig_gru_all5137.png

(a) Grüneisen parameters

../../_images/fig_gruneisen5137.png

(b) Phonon dispersion with Grüneisen parameters

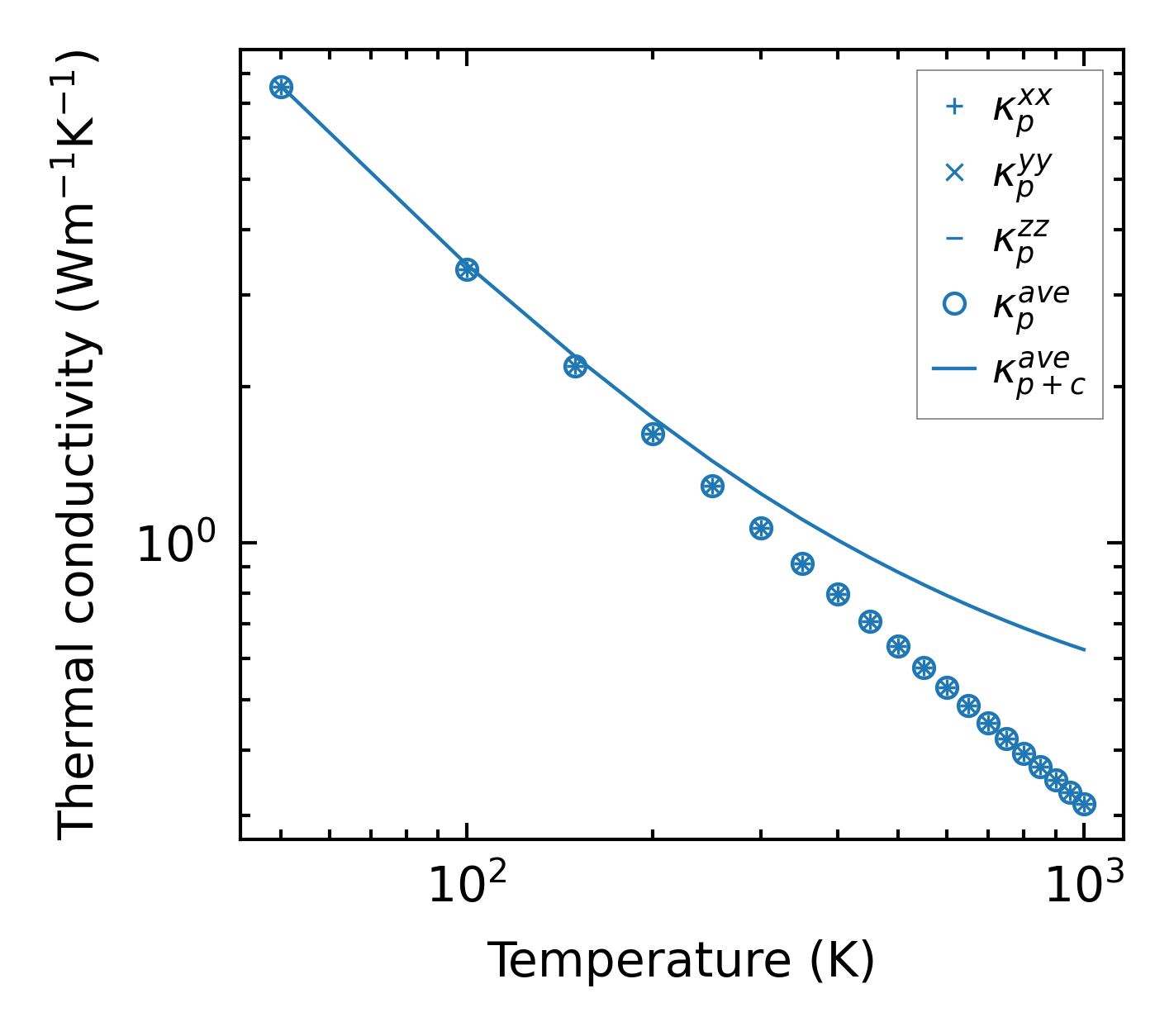
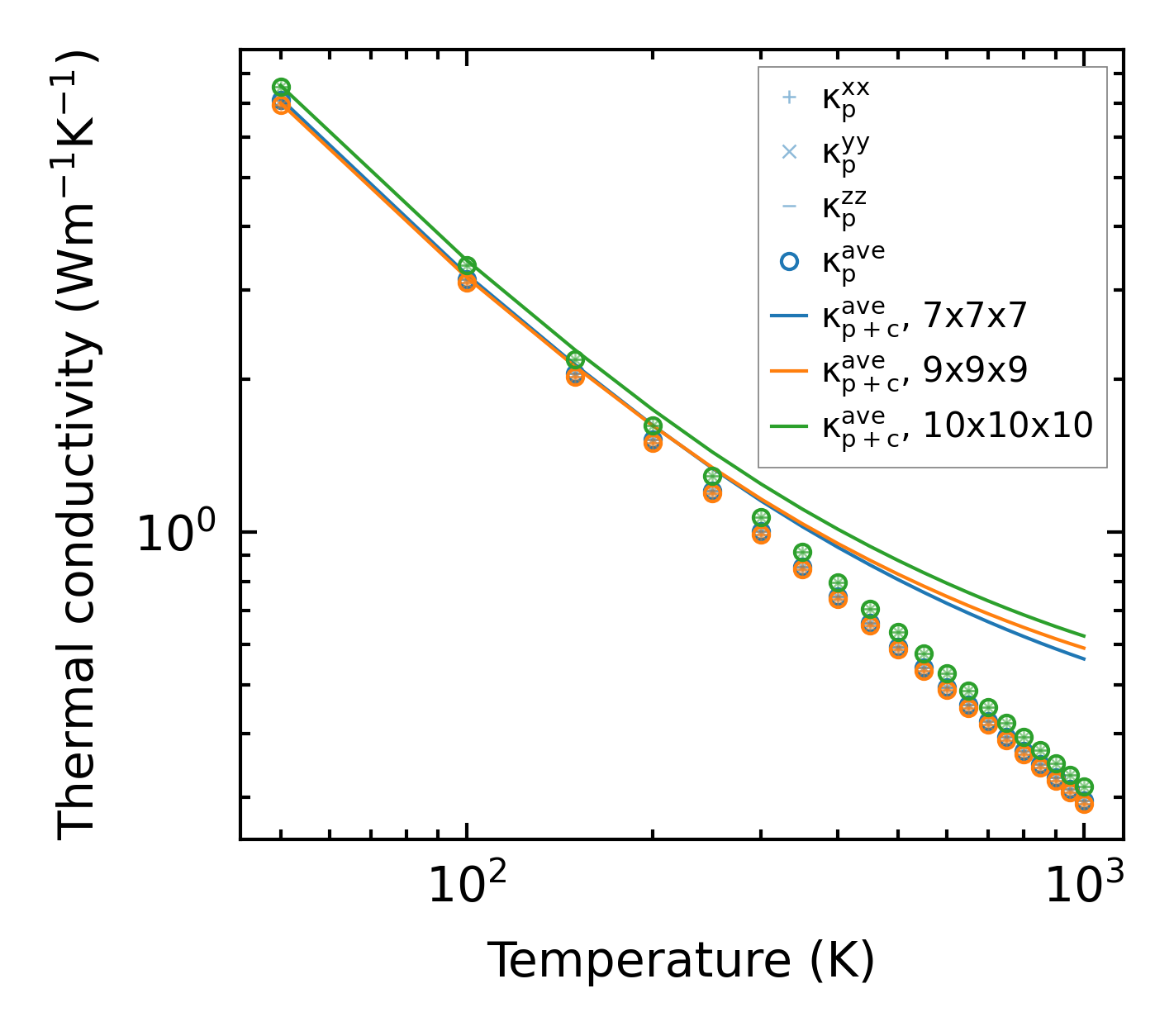
Thermal conductivity

3-phonon (LASSO) — q-mesh: 10x10x10, supercell: 1x1x1

../../_images/fig_kappa9663.png

(a) Temperature-dependent lattice thermal conductivity

../../_images/fig_kappa_vs_grain_size5197.png

(b) Peierls lattice thermal conductivity w.r.t grain size

Phonon lifetime and scattering rates

../../_images/fig_lifetime5086.png

(a) Phonon lifetime due to phonon-phonon scattering

../../_images/fig_scat_rates5085.png

(b) Phonon scattering rates

Cumulative and spectral thermal conductivity

../../_images/fig_cumu_frequency5086.png

(a) Spectral and cumulative thermal conductivity w.r.t frequency

../../_images/fig_cumu_mfp5085.png

(b) Spectral and cumulative thermal conductivity w.r.t MFP

Force constants

../../_images/fig_fc212047.png

(a) Force constants w.r.t atomic distance

Summary

../../_images/fig_kappa9664.png

(a) Temperature-dependent lattice thermal conductivity

../../_images/fig_times20952.png

(b) Computation time