mp-24413/Na2LiAlH6/anharm

Harmonic properties

../../_images/fig_bandos_pr12409.png

(a) Phonon dispersion with participation ratio and DOS

../../_images/fig_thermo12409.png

(b) Thermodynamic properties

Grüneisen parameters

../../_images/fig_gru_all5159.png

(a) Grüneisen parameters

../../_images/fig_gruneisen5159.png

(b) Phonon dispersion with Grüneisen parameters

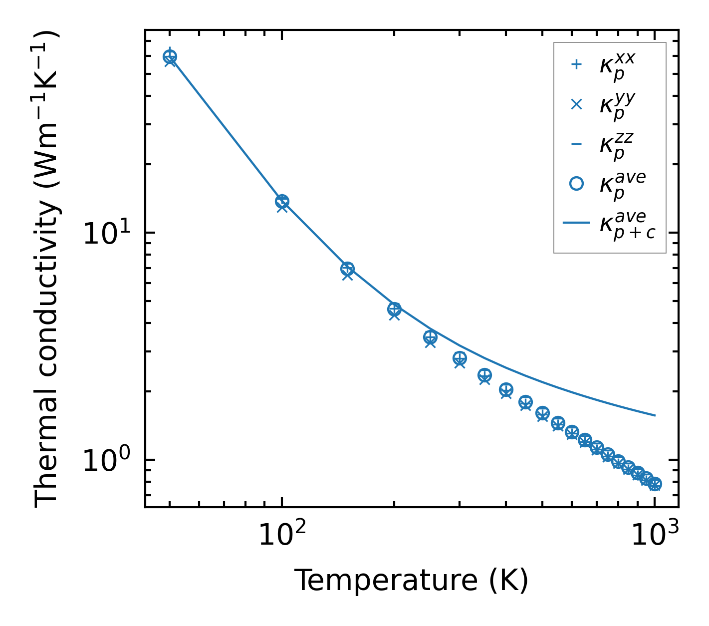
Thermal conductivity

3-phonon (LASSO) — q-mesh: 14x14x8, supercell: 2x2x1

../../_images/fig_kappa9703.png

(a) Temperature-dependent lattice thermal conductivity

../../_images/fig_kappa_vs_grain_size5219.png

(b) Peierls lattice thermal conductivity w.r.t grain size

Phonon lifetime and scattering rates

../../_images/fig_lifetime5108.png

(a) Phonon lifetime due to phonon-phonon scattering

../../_images/fig_scat_rates5107.png

(b) Phonon scattering rates

Cumulative and spectral thermal conductivity

../../_images/fig_cumu_frequency5108.png

(a) Spectral and cumulative thermal conductivity w.r.t frequency

../../_images/fig_cumu_mfp5107.png

(b) Spectral and cumulative thermal conductivity w.r.t MFP

Force constants

../../_images/fig_fc212108.png

(a) Force constants w.r.t atomic distance

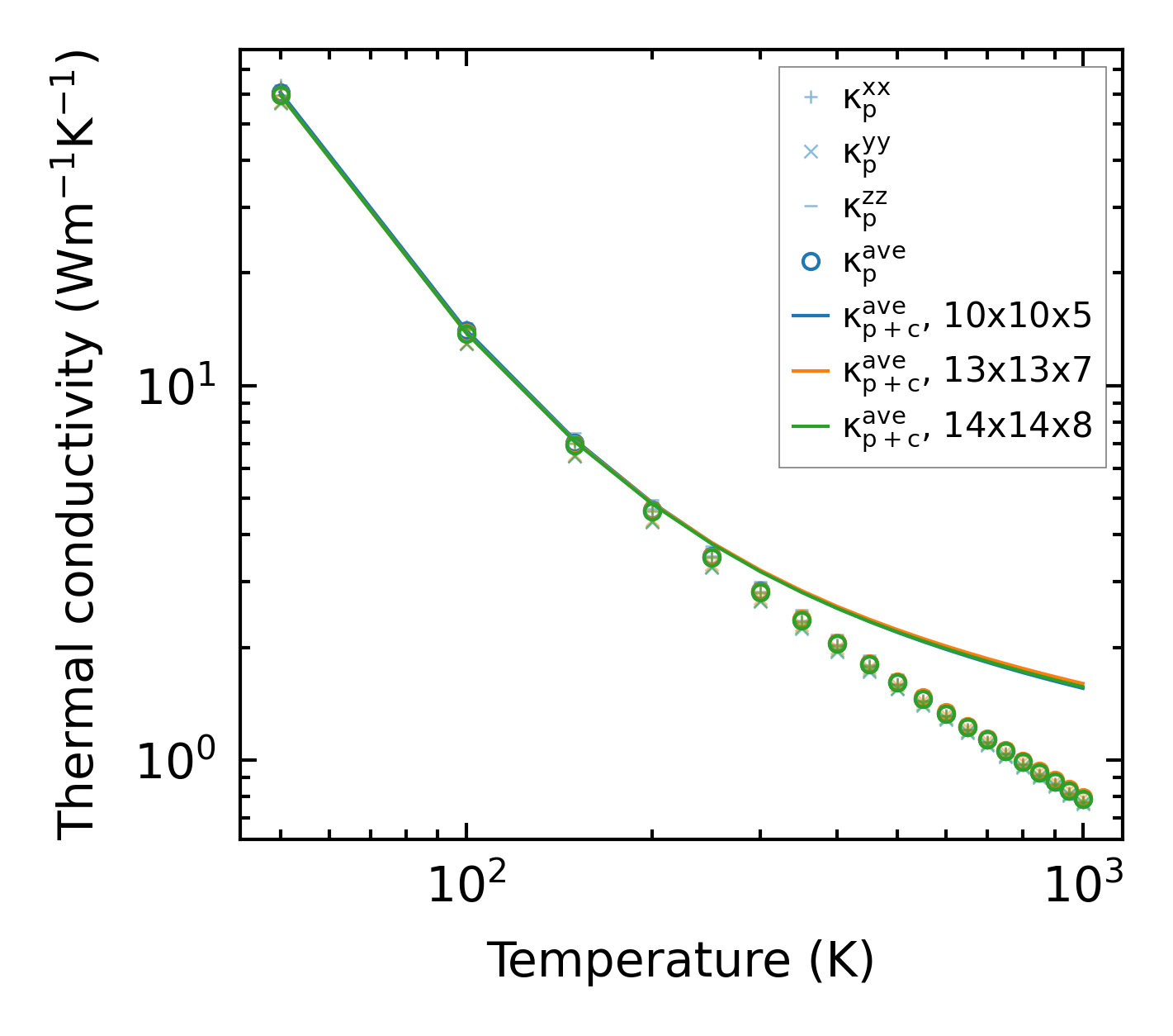
Summary

../../_images/fig_kappa9704.png

(a) Temperature-dependent lattice thermal conductivity

../../_images/fig_times21082.png

(b) Computation time