mp-24356-2/CdH4NCl3/anharm

Equation of state

../../_images/fig_bm6137.png

(a) Equation of state

Harmonic properties

../../_images/fig_bandos_pr12397.png

(a) Phonon dispersion with participation ratio and DOS

../../_images/fig_bandos16652.png

(b) Phonon dispersion and DOS

../../_images/fig_thermo12397.png

(c) Thermodynamic properties

Grüneisen parameters

../../_images/fig_gru_all5153.png

(a) Grüneisen parameters

../../_images/fig_gruneisen5153.png

(b) Phonon dispersion with Grüneisen parameters

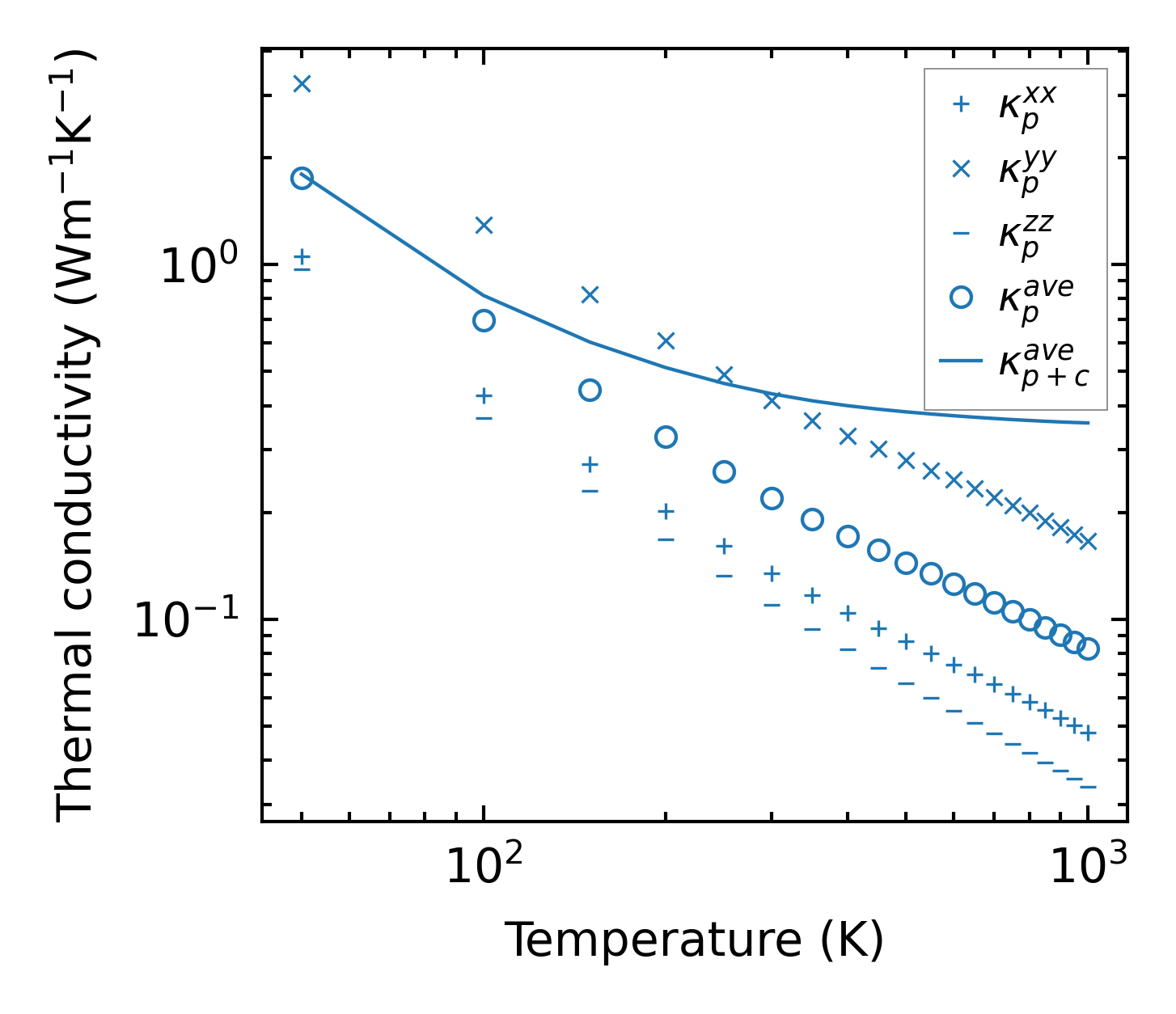
Thermal conductivity

3-phonon (LASSO), supercell 2x3x1 — q-mesh: 7x17x4, supercell: 2x3x1

../../_images/fig_kappa9693.png

(a) Temperature-dependent lattice thermal conductivity

../../_images/fig_kappa_vs_grain_size5213.png

(b) Peierls lattice thermal conductivity w.r.t grain size

Phonon lifetime and scattering rates

../../_images/fig_lifetime5102.png

(a) Phonon lifetime due to phonon-phonon scattering

../../_images/fig_scat_rates5101.png

(b) Phonon scattering rates

Cumulative and spectral thermal conductivity

../../_images/fig_cumu_frequency5102.png

(a) Spectral and cumulative thermal conductivity w.r.t frequency

../../_images/fig_cumu_mfp5101.png

(b) Spectral and cumulative thermal conductivity w.r.t MFP

Force constants

../../_images/fig_fc212096.png

(a) Force constants w.r.t atomic distance

Summary

../../_images/fig_times21050.png

(a) Computation time