mp-24113-2/SnH8N2F6/anharm

Equation of state

../../_images/fig_bm6092.png

(a) Equation of state

Harmonic properties

../../_images/fig_bandos_pr12335.png

(a) Phonon dispersion with participation ratio and DOS

../../_images/fig_bandos16552.png

(b) Phonon dispersion and DOS

../../_images/fig_thermo12335.png

(c) Thermodynamic properties

Grüneisen parameters

../../_images/fig_gru_all5134.png

(a) Grüneisen parameters

../../_images/fig_gruneisen5134.png

(b) Phonon dispersion with Grüneisen parameters

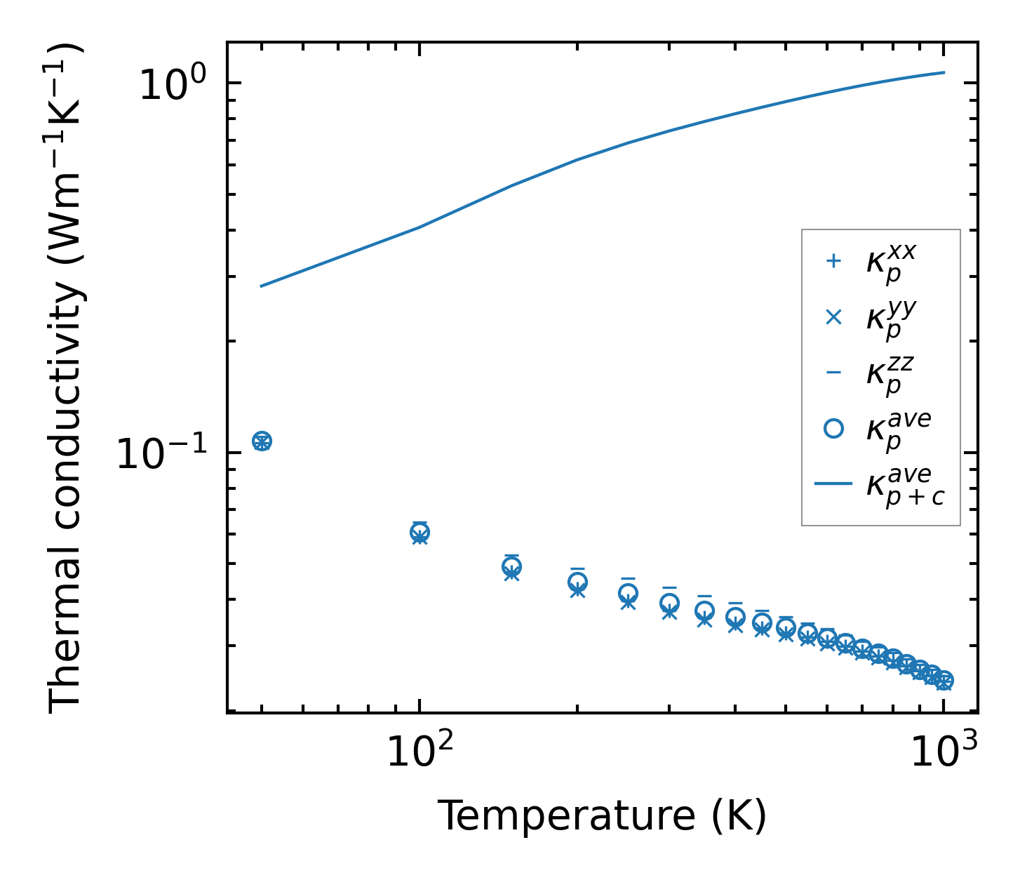
Thermal conductivity

3-phonon (LASSO), supercell 2x2x3 — q-mesh: 12x12x16, supercell: 2x2x3

../../_images/fig_kappa9658.png

(a) Temperature-dependent lattice thermal conductivity

../../_images/fig_kappa_vs_grain_size5194.png

(b) Peierls lattice thermal conductivity w.r.t grain size

Phonon lifetime and scattering rates

../../_images/fig_lifetime5083.png

(a) Phonon lifetime due to phonon-phonon scattering

../../_images/fig_scat_rates5082.png

(b) Phonon scattering rates

Cumulative and spectral thermal conductivity

../../_images/fig_cumu_frequency5083.png

(a) Spectral and cumulative thermal conductivity w.r.t frequency

../../_images/fig_cumu_mfp5082.png

(b) Spectral and cumulative thermal conductivity w.r.t MFP

Force constants

../../_images/fig_fc212034.png

(a) Force constants w.r.t atomic distance

Summary

../../_images/fig_times20934.png

(a) Computation time