mp-24589/K2HBrO/anharm

Harmonic properties

../../_images/fig_bandos_pr12448.png

(a) Phonon dispersion with participation ratio and DOS

../../_images/fig_thermo12448.png

(b) Thermodynamic properties

Grüneisen parameters

../../_images/fig_gru_all5170.png

(a) Grüneisen parameters

../../_images/fig_gruneisen5170.png

(b) Phonon dispersion with Grüneisen parameters

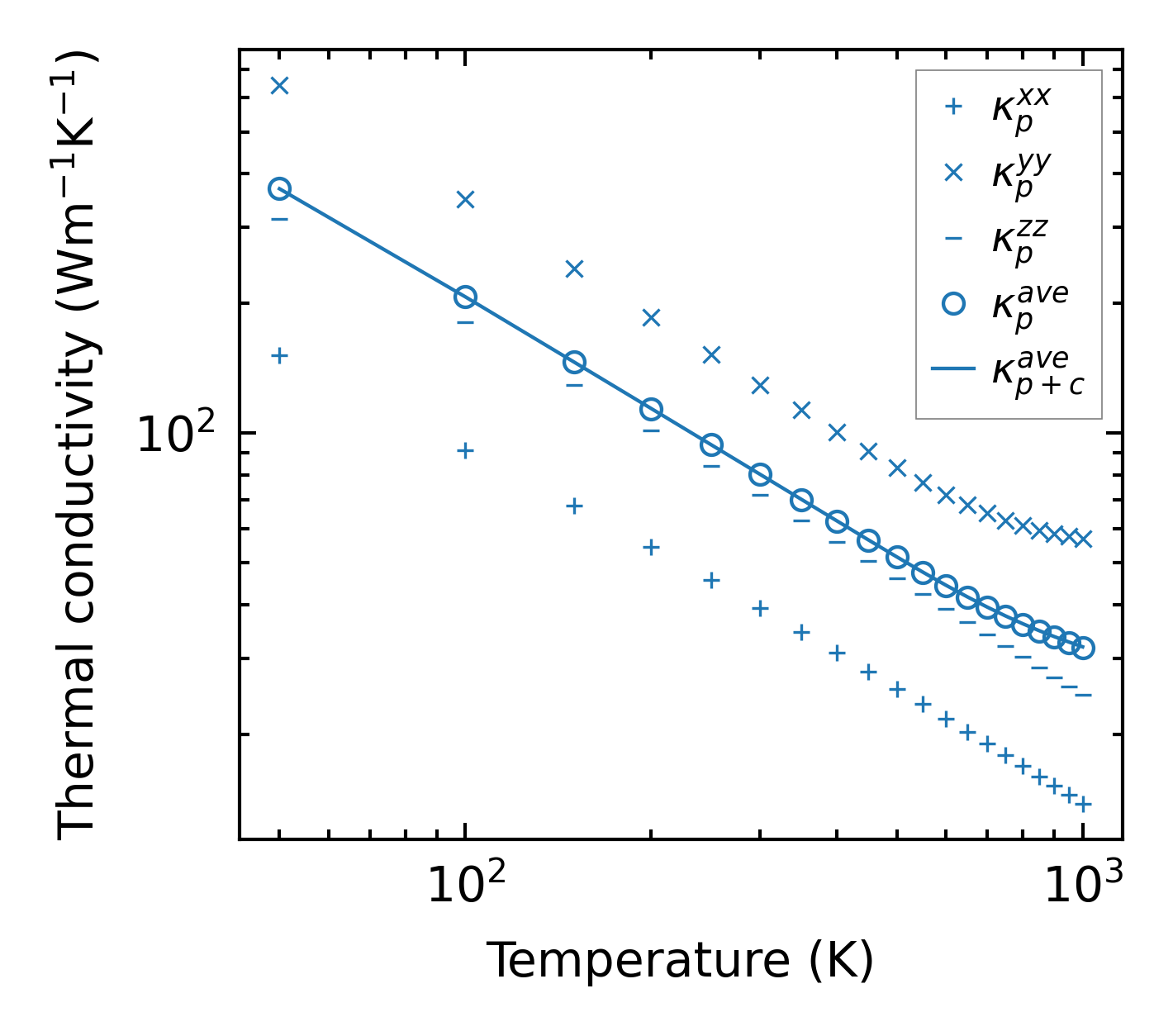
Thermal conductivity

3-phonon (LASSO) — q-mesh: 10x17x8, supercell: 2x3x2

../../_images/fig_kappa9725.png

(a) Temperature-dependent lattice thermal conductivity

../../_images/fig_kappa_vs_grain_size5231.png

(b) Peierls lattice thermal conductivity w.r.t grain size

Phonon lifetime and scattering rates

../../_images/fig_lifetime5119.png

(a) Phonon lifetime due to phonon-phonon scattering

../../_images/fig_scat_rates5118.png

(b) Phonon scattering rates

Cumulative and spectral thermal conductivity

../../_images/fig_cumu_frequency5119.png

(a) Spectral and cumulative thermal conductivity w.r.t frequency

../../_images/fig_cumu_mfp5118.png

(b) Spectral and cumulative thermal conductivity w.r.t MFP

Force constants

../../_images/fig_fc212147.png

(a) Force constants w.r.t atomic distance

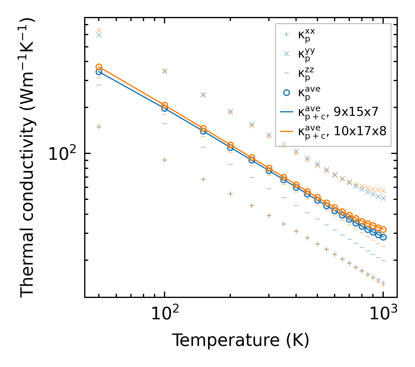
Summary

../../_images/fig_kappa9726.png

(a) Temperature-dependent lattice thermal conductivity

../../_images/fig_times21152.png

(b) Computation time