mp-24565-2/BaHClO/anharm

Equation of state

../../_images/fig_bm6168.png

(a) Equation of state

Harmonic properties

../../_images/fig_bandos_pr12442.png

(a) Phonon dispersion with participation ratio and DOS

../../_images/fig_bandos16732.png

(b) Phonon dispersion and DOS

../../_images/fig_thermo12442.png

(c) Thermodynamic properties

Grüneisen parameters

../../_images/fig_gru_all5169.png

(a) Grüneisen parameters

../../_images/fig_gruneisen5169.png

(b) Phonon dispersion with Grüneisen parameters

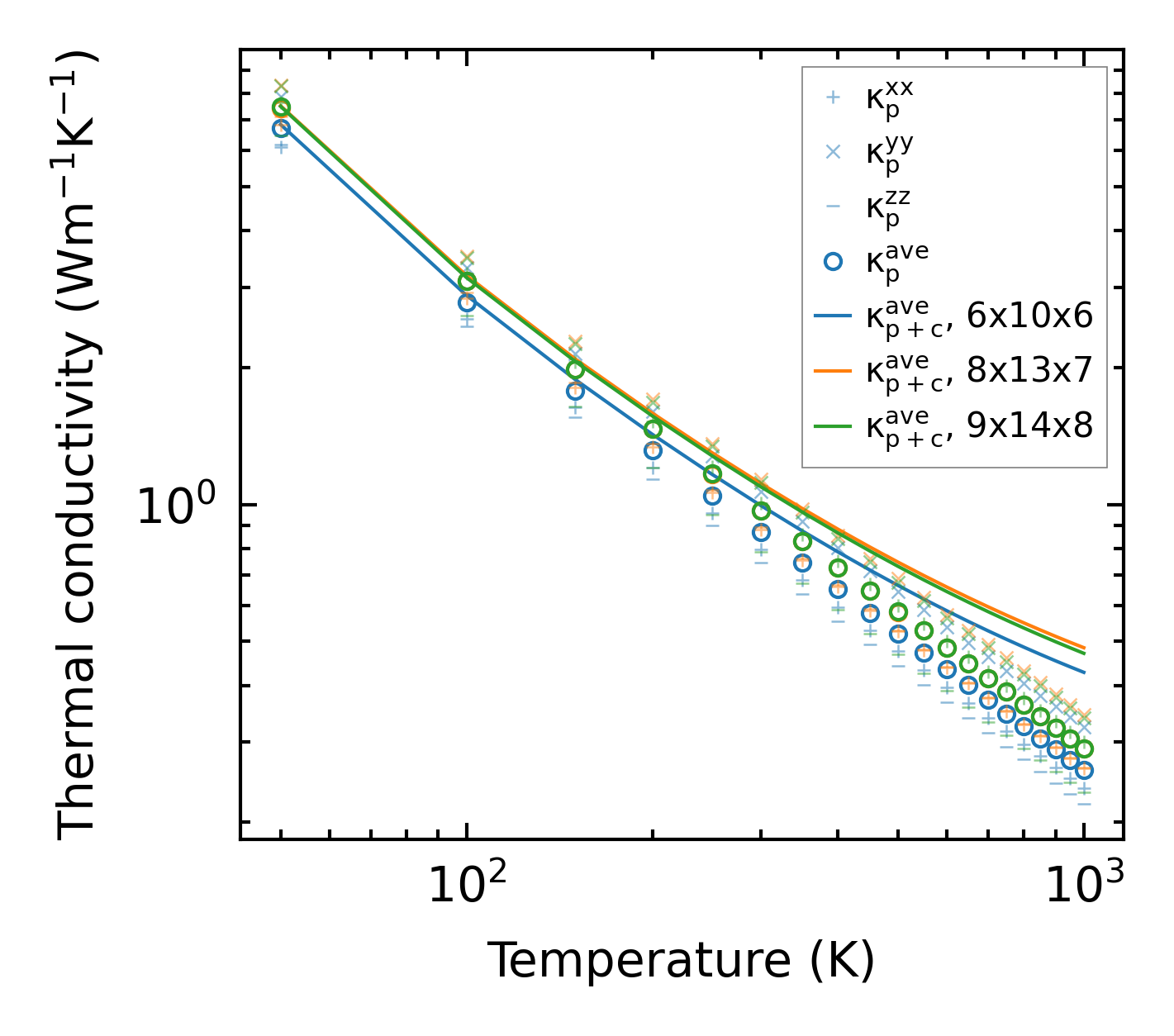
Thermal conductivity

3-phonon (LASSO) — q-mesh: 9x14x8, supercell: 2x3x1

../../_images/fig_kappa9722.png

(a) Temperature-dependent lattice thermal conductivity

../../_images/fig_kappa_vs_grain_size5229.png

(b) Peierls lattice thermal conductivity w.r.t grain size

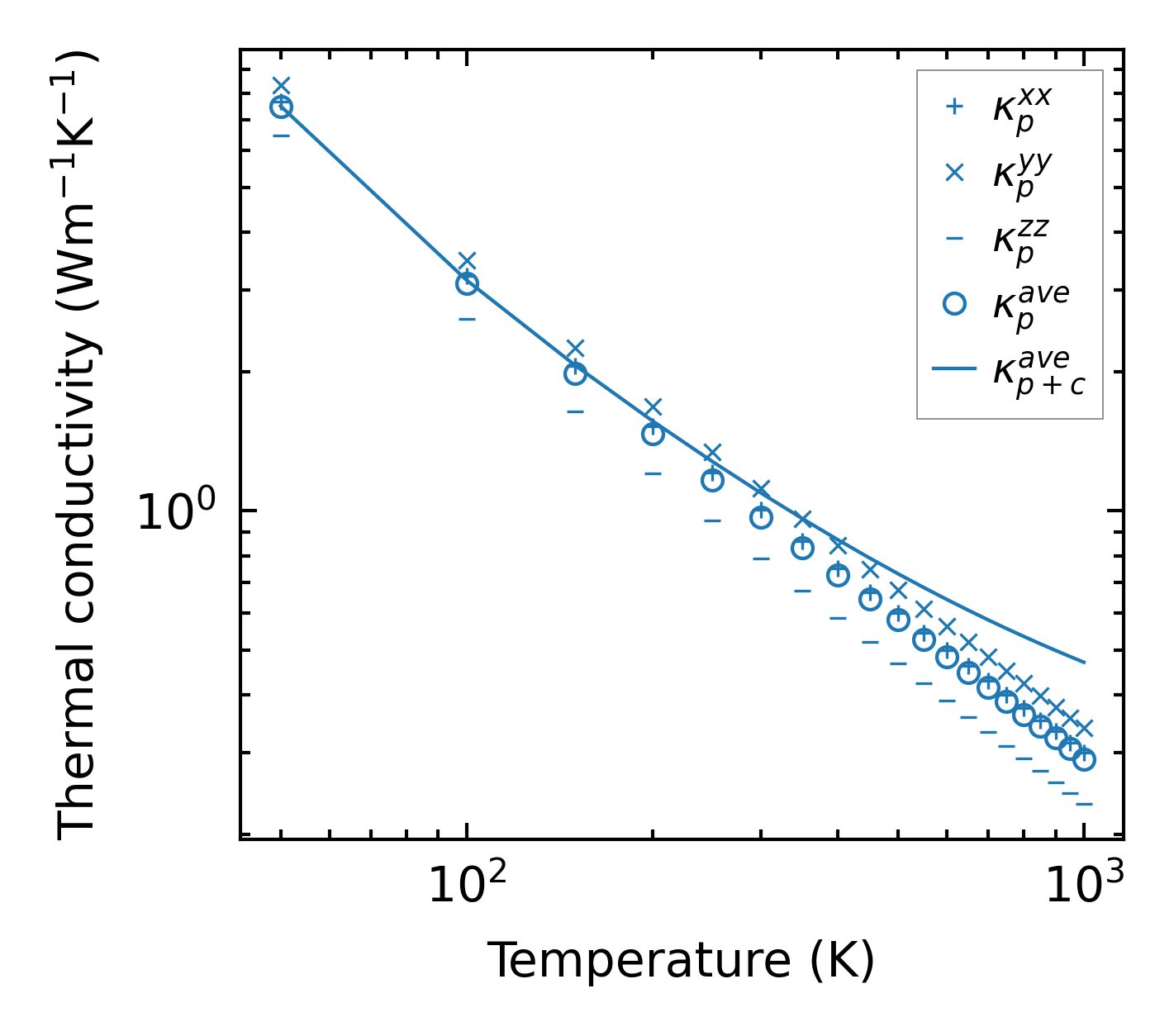
3-phonon (LASSO), supercell 2x3x2 — q-mesh: 9x14x8, supercell: 2x3x2

../../_images/fig_kappa9723.png

(a) Temperature-dependent lattice thermal conductivity

../../_images/fig_kappa_vs_grain_size5230.png

(b) Peierls lattice thermal conductivity w.r.t grain size

Phonon lifetime and scattering rates

../../_images/fig_lifetime5118.png

(a) Phonon lifetime due to phonon-phonon scattering

../../_images/fig_scat_rates5117.png

(b) Phonon scattering rates

Cumulative and spectral thermal conductivity

../../_images/fig_cumu_frequency5118.png

(a) Spectral and cumulative thermal conductivity w.r.t frequency

../../_images/fig_cumu_mfp5117.png

(b) Spectral and cumulative thermal conductivity w.r.t MFP

Force constants

../../_images/fig_fc212141.png

(a) Force constants w.r.t atomic distance

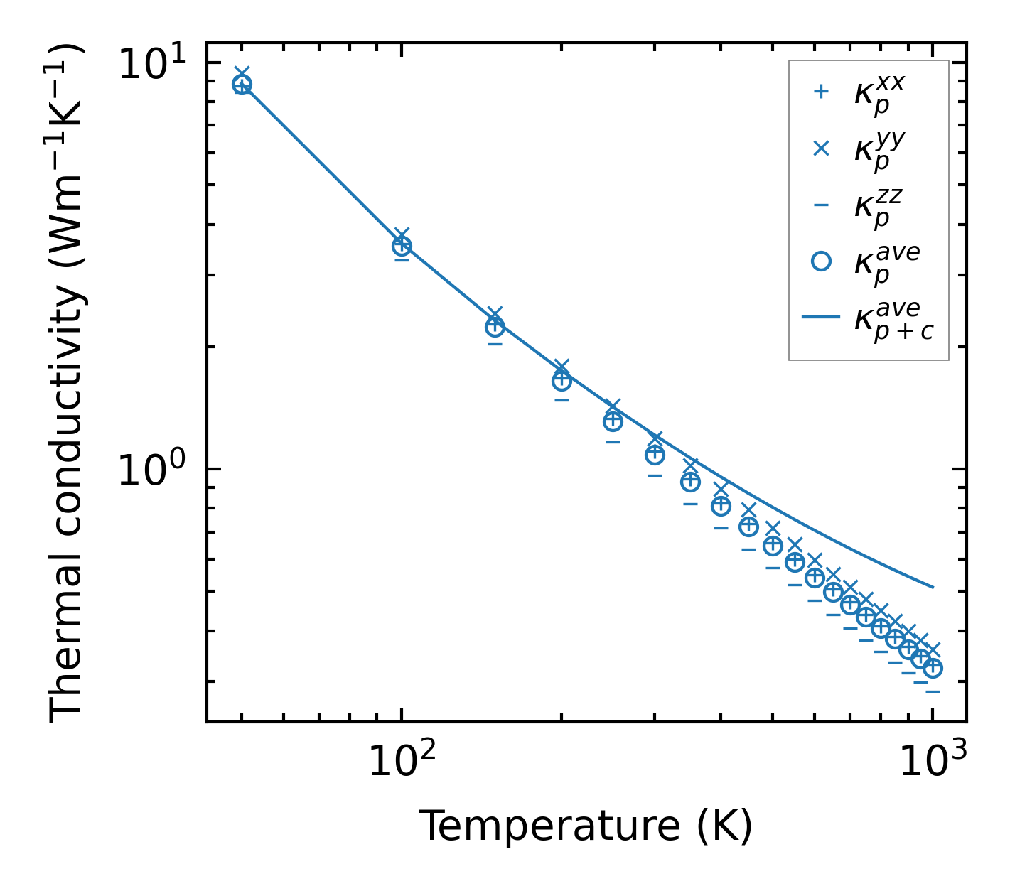
Summary

../../_images/fig_kappa9724.png

(a) Temperature-dependent lattice thermal conductivity

../../_images/fig_times21142.png

(b) Computation time