mp-24421/BaH2Cl2O7/harm

Harmonic properties

../../_images/fig_bandos_pr12410.png

(a) Phonon dispersion with participation ratio and DOS

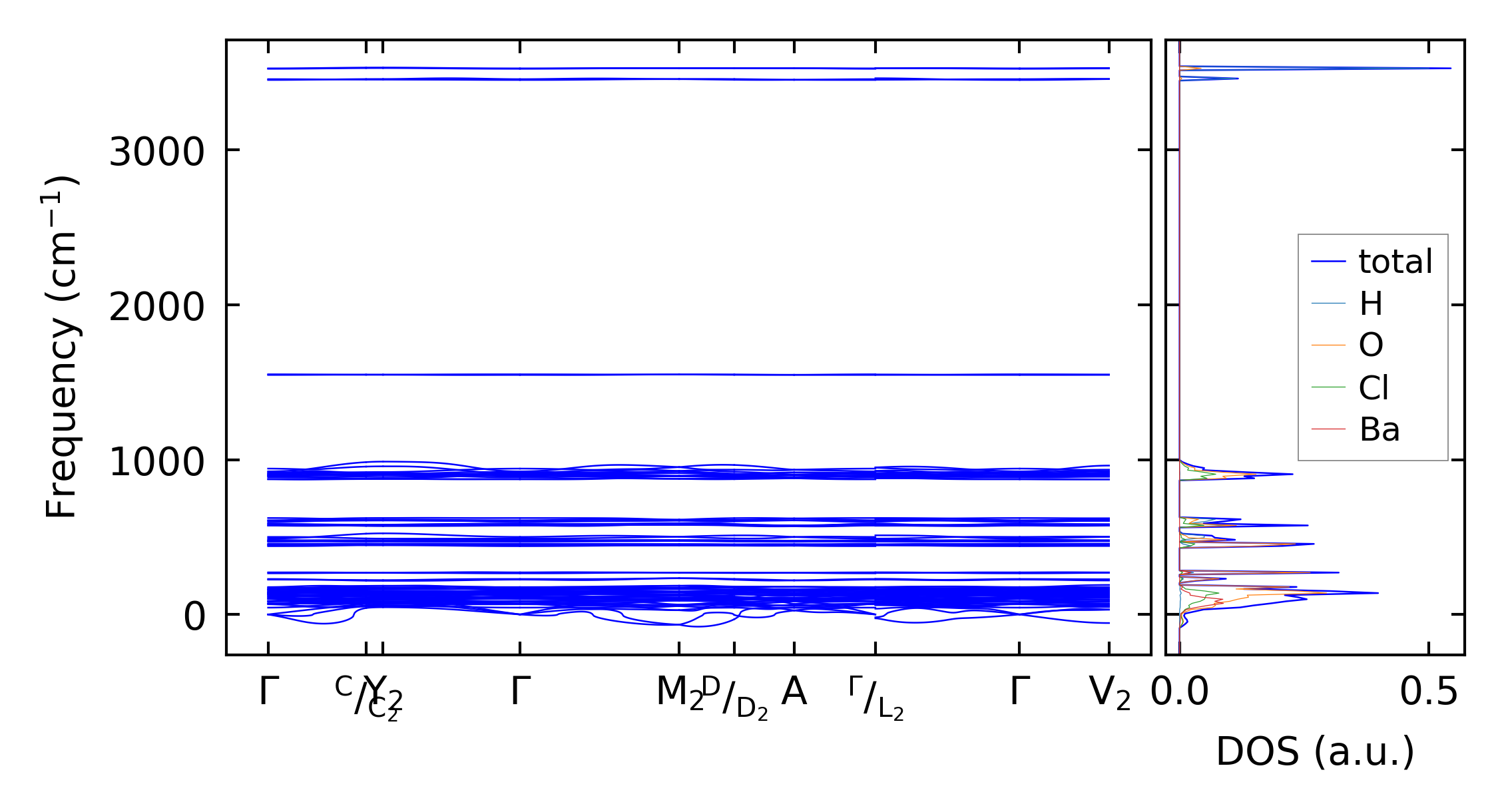
../../_images/fig_bandos16681.png

(b) Phonon dispersion and DOS

../../_images/fig_thermo12410.png

(c) Thermodynamic properties

Force constants

../../_images/fig_fc212109.png

(a) Force constants w.r.t atomic distance

Summary

../../_images/fig_times21083.png

(a) Computation time