mp-24721/RbH/anharm

Harmonic properties

../../_images/fig_bandos_pr12192.png

(a) Phonon dispersion with participation ratio and DOS

../../_images/fig_thermo12192.png

(b) Thermodynamic properties

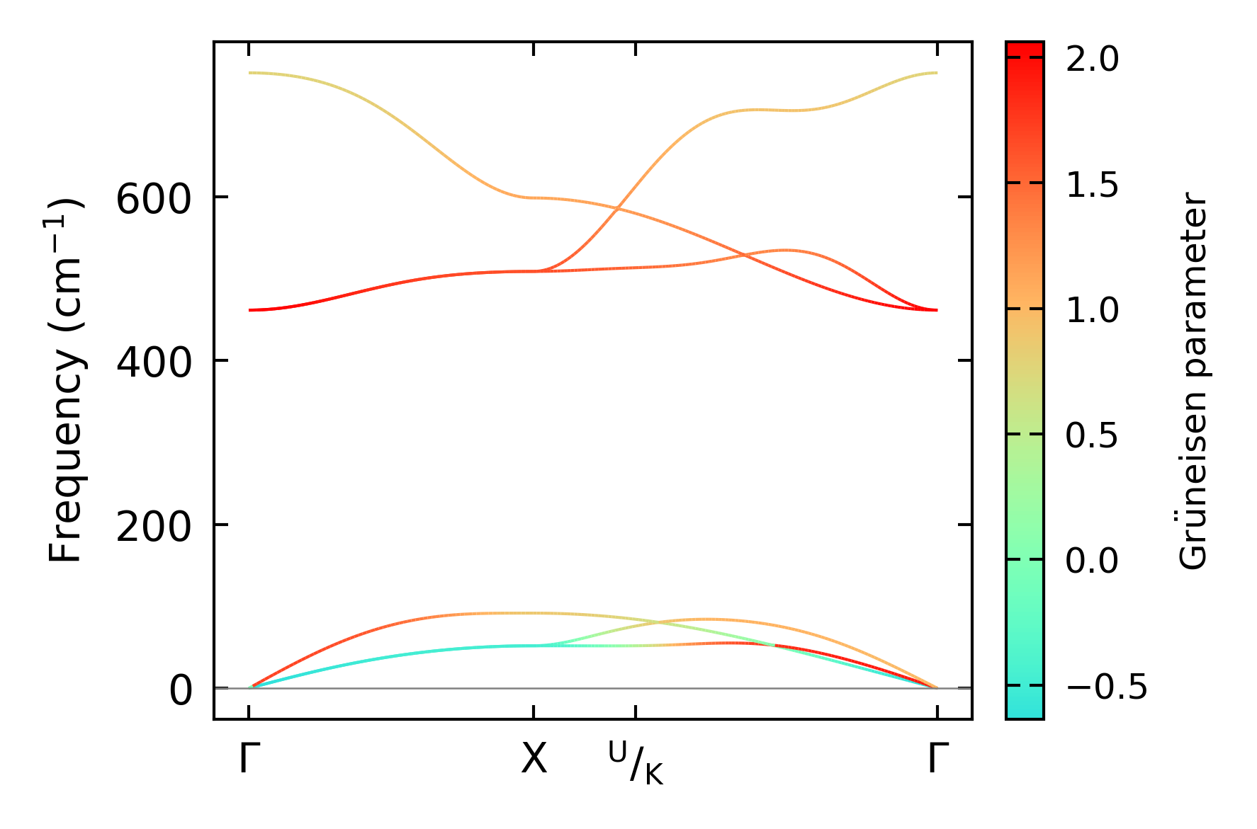
Grüneisen parameters

../../_images/fig_gru_all5090.png

(a) Grüneisen parameters

../../_images/fig_gruneisen5090.png

(b) Phonon dispersion with Grüneisen parameters

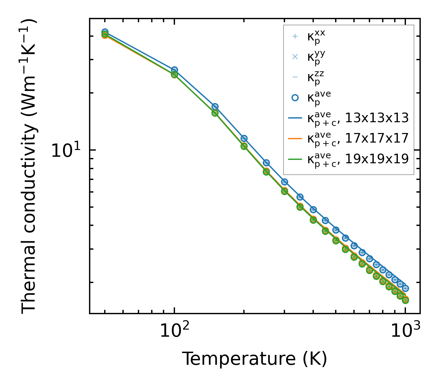
Thermal conductivity

3-phonon — q-mesh: 19x19x19, supercell: 2x2x2

../../_images/fig_kappa9579.png

(a) Temperature-dependent lattice thermal conductivity

../../_images/fig_kappa_vs_grain_size5150.png

(b) Peierls lattice thermal conductivity w.r.t grain size

Phonon lifetime and scattering rates

../../_images/fig_lifetime5040.png

(a) Phonon lifetime due to phonon-phonon scattering

../../_images/fig_scat_rates5039.png

(b) Phonon scattering rates

Cumulative and spectral thermal conductivity

../../_images/fig_cumu_frequency5040.png

(a) Spectral and cumulative thermal conductivity w.r.t frequency

../../_images/fig_cumu_mfp5039.png

(b) Spectral and cumulative thermal conductivity w.r.t MFP

Force constants

../../_images/fig_fc3301.png

(a) Force constants w.r.t atomic distance

Summary

../../_images/fig_kappa9580.png

(a) Temperature-dependent lattice thermal conductivity

../../_images/fig_times20666.png

(b) Computation time