mp-24747/Na3H6Rh/anharm

Harmonic properties

../../_images/fig_bandos_pr12193.png

(a) Phonon dispersion with participation ratio and DOS

../../_images/fig_thermo12193.png

(b) Thermodynamic properties

Grüneisen parameters

../../_images/fig_gru_all5091.png

(a) Grüneisen parameters

../../_images/fig_gruneisen5091.png

(b) Phonon dispersion with Grüneisen parameters

Thermal conductivity

3-phonon (LASSO) — q-mesh: 7x14x7, supercell: 1x2x1

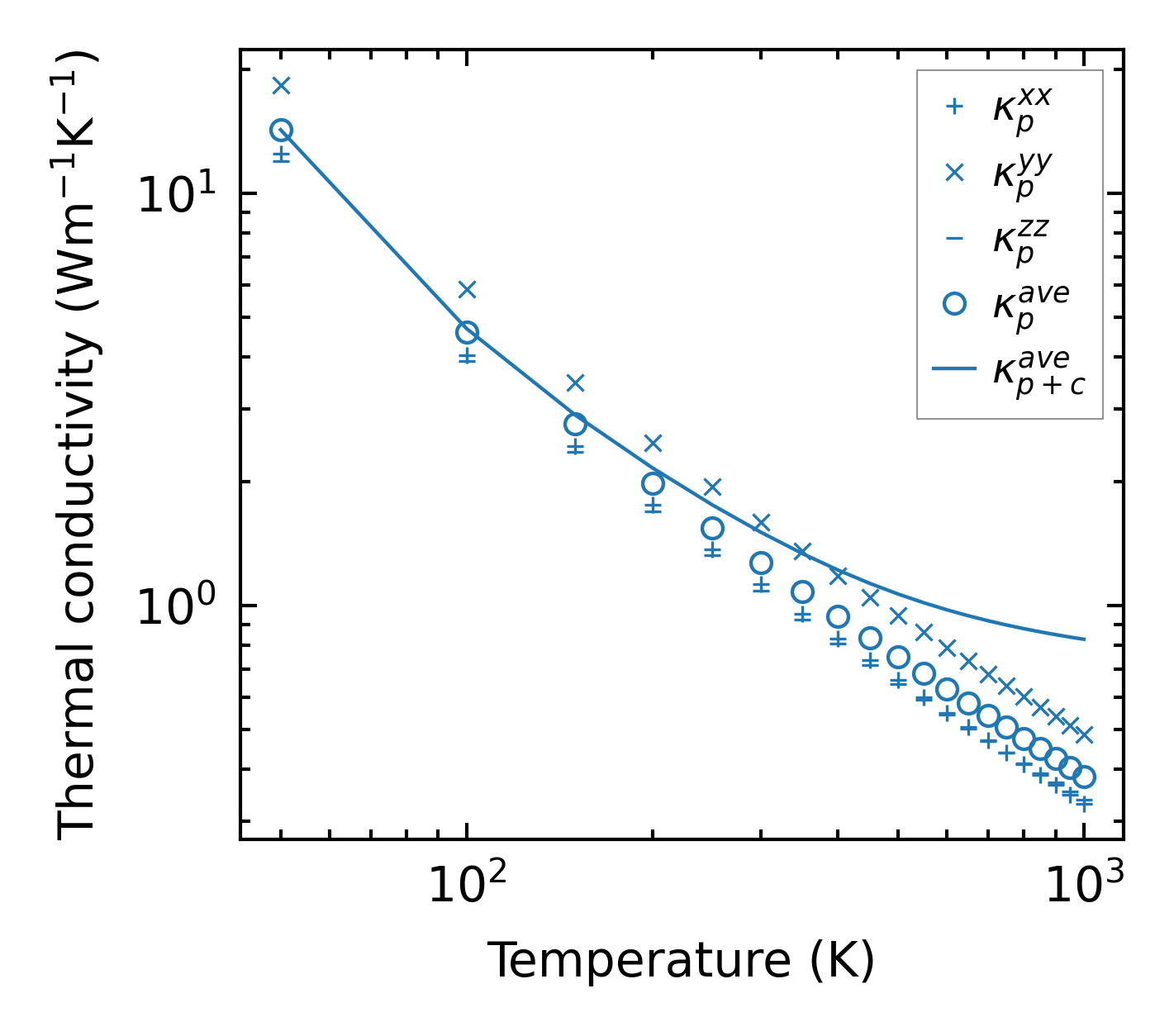
../../_images/fig_kappa9581.png

(a) Temperature-dependent lattice thermal conductivity

../../_images/fig_kappa_vs_grain_size5151.png

(b) Peierls lattice thermal conductivity w.r.t grain size

Phonon lifetime and scattering rates

../../_images/fig_lifetime5041.png

(a) Phonon lifetime due to phonon-phonon scattering

../../_images/fig_scat_rates5040.png

(b) Phonon scattering rates

Cumulative and spectral thermal conductivity

../../_images/fig_cumu_frequency5041.png

(a) Spectral and cumulative thermal conductivity w.r.t frequency

../../_images/fig_cumu_mfp5040.png

(b) Spectral and cumulative thermal conductivity w.r.t MFP

Force constants

../../_images/fig_fc211892.png

(a) Force constants w.r.t atomic distance

Summary

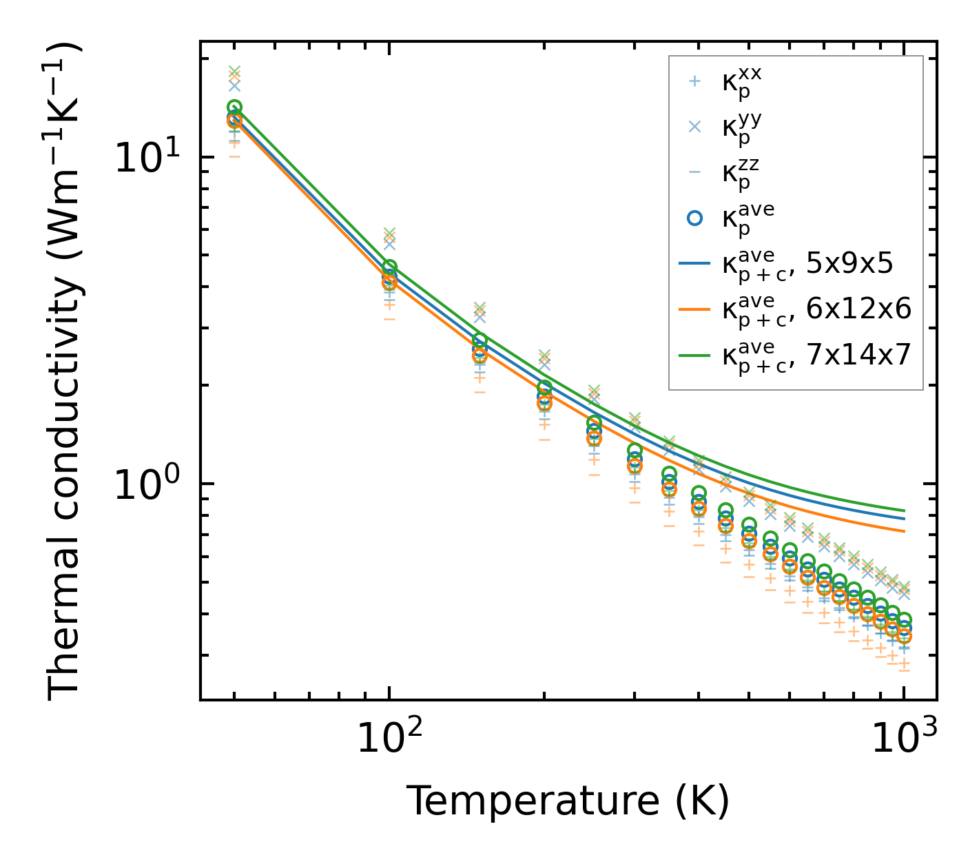
../../_images/fig_kappa9582.png

(a) Temperature-dependent lattice thermal conductivity

../../_images/fig_times20671.png

(b) Computation time