mp-24668/CsHF2/anharm

Harmonic properties

../../_images/fig_bandos_pr12466.png

(a) Phonon dispersion with participation ratio and DOS

../../_images/fig_thermo12466.png

(b) Thermodynamic properties

Grüneisen parameters

../../_images/fig_gru_all5172.png

(a) Grüneisen parameters

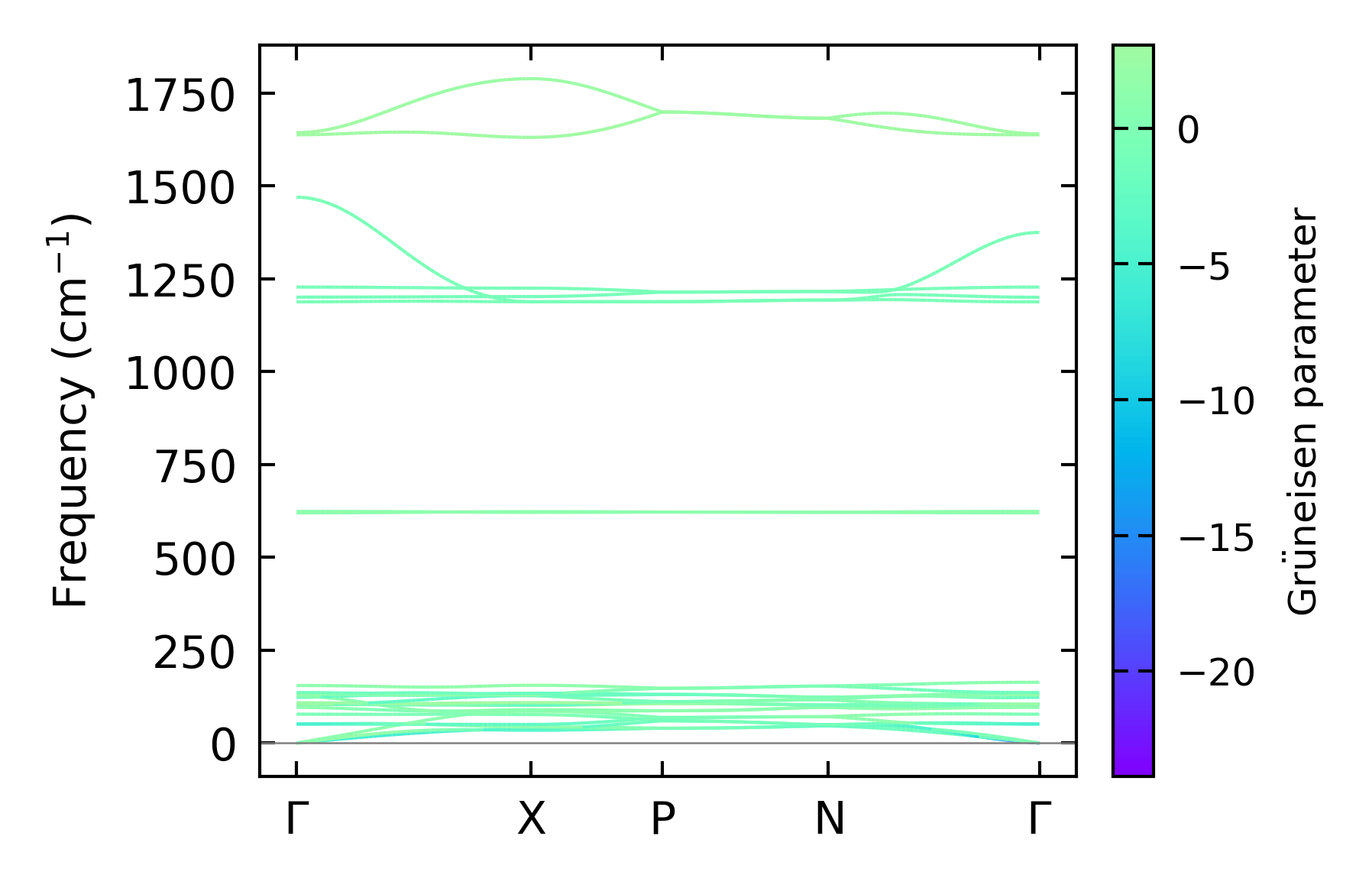
../../_images/fig_gruneisen5172.png

(b) Phonon dispersion with Grüneisen parameters

Thermal conductivity

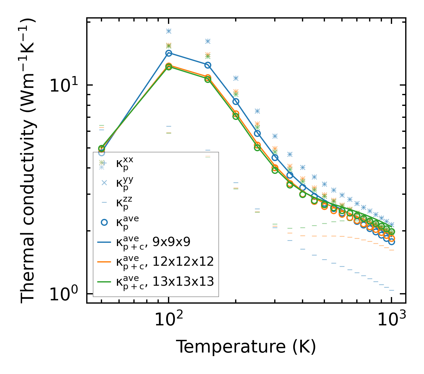
3-phonon (LASSO) — q-mesh: 13x13x13, supercell: 2x2x2

../../_images/fig_kappa9729.png

(a) Temperature-dependent lattice thermal conductivity

../../_images/fig_kappa_vs_grain_size5233.png

(b) Peierls lattice thermal conductivity w.r.t grain size

Phonon lifetime and scattering rates

../../_images/fig_lifetime5121.png

(a) Phonon lifetime due to phonon-phonon scattering

../../_images/fig_scat_rates5120.png

(b) Phonon scattering rates

Cumulative and spectral thermal conductivity

../../_images/fig_cumu_frequency5121.png

(a) Spectral and cumulative thermal conductivity w.r.t frequency

../../_images/fig_cumu_mfp5120.png

(b) Spectral and cumulative thermal conductivity w.r.t MFP

Force constants

../../_images/fig_fc212165.png

(a) Force constants w.r.t atomic distance

Summary

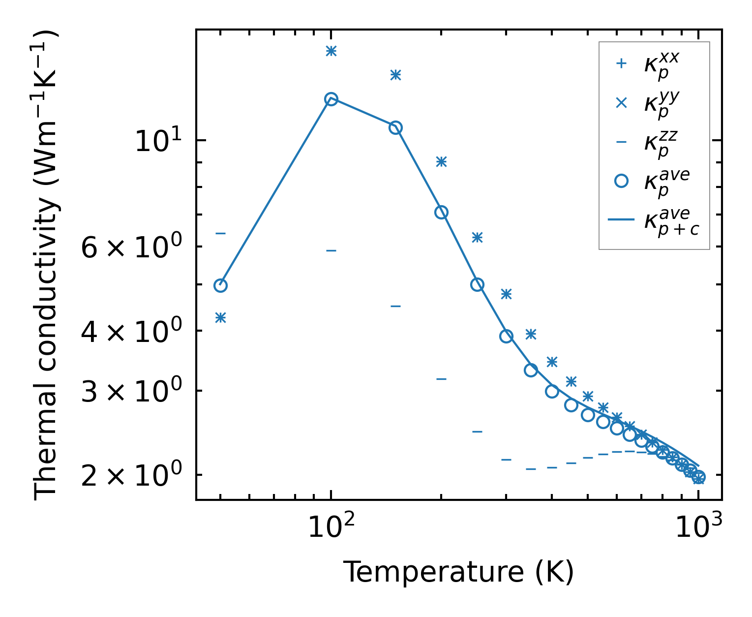
../../_images/fig_kappa9730.png

(a) Temperature-dependent lattice thermal conductivity

../../_images/fig_times21186.png

(b) Computation time