mp-24006/MgH12Br2O12/anharm

Harmonic properties

../../_images/fig_bandos_pr12597.png

(a) Phonon dispersion with participation ratio and DOS

../../_images/fig_thermo12597.png

(b) Thermodynamic properties

Grüneisen parameters

../../_images/fig_gru_all5223.png

(a) Grüneisen parameters

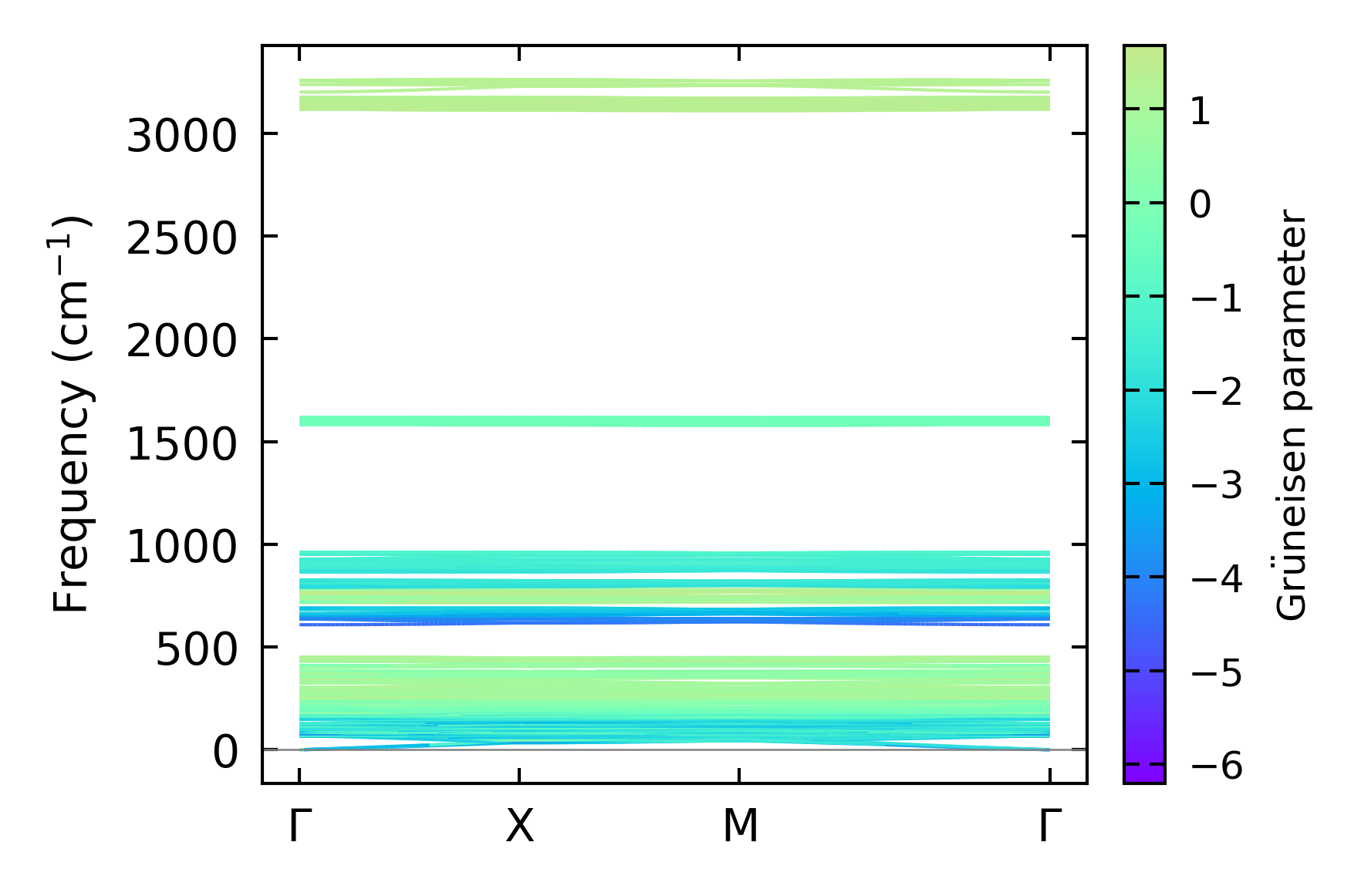
../../_images/fig_gruneisen5223.png

(b) Phonon dispersion with Grüneisen parameters

Thermal conductivity

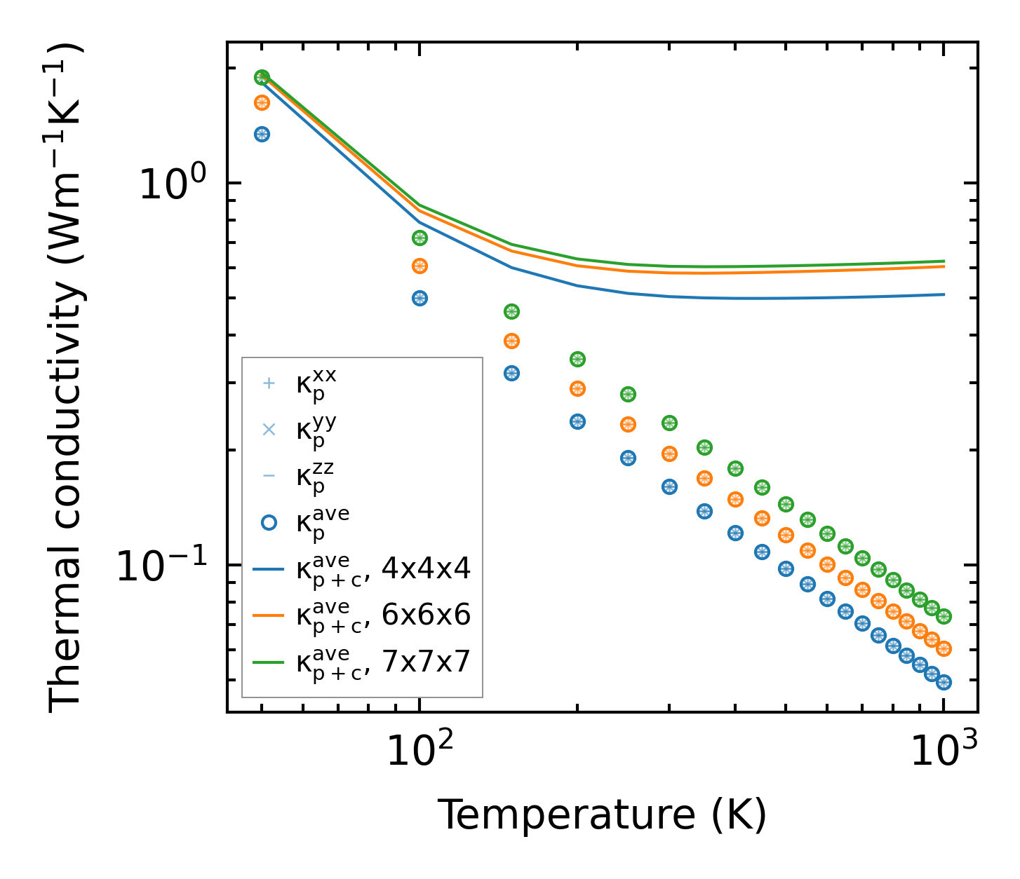
3-phonon (LASSO) — q-mesh: 7x7x7, supercell: 1x1x1

../../_images/fig_kappa9820.png

(a) Temperature-dependent lattice thermal conductivity

../../_images/fig_kappa_vs_grain_size5285.png

(b) Peierls lattice thermal conductivity w.r.t grain size

Phonon lifetime and scattering rates

../../_images/fig_lifetime5172.png

(a) Phonon lifetime due to phonon-phonon scattering

../../_images/fig_scat_rates5171.png

(b) Phonon scattering rates

Cumulative and spectral thermal conductivity

../../_images/fig_cumu_frequency5172.png

(a) Spectral and cumulative thermal conductivity w.r.t frequency

../../_images/fig_cumu_mfp5171.png

(b) Spectral and cumulative thermal conductivity w.r.t MFP

Force constants

../../_images/fig_fc212295.png

(a) Force constants w.r.t atomic distance

Summary

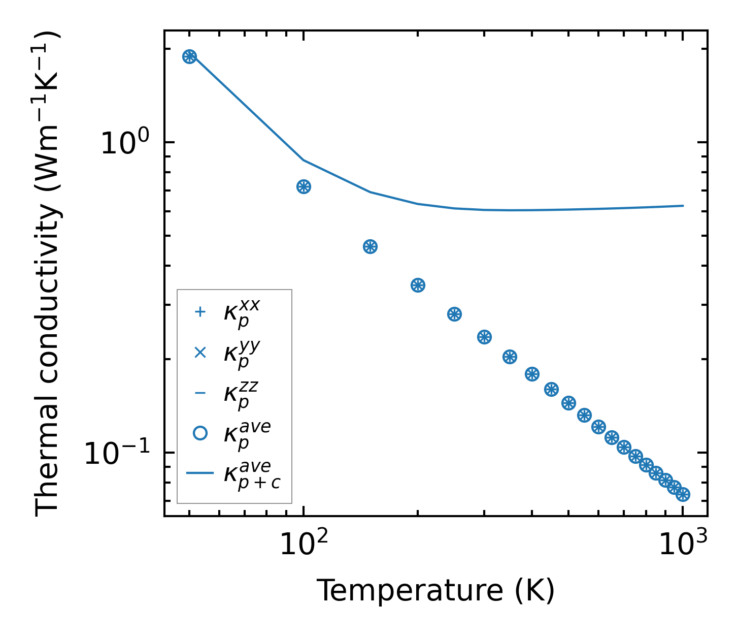
../../_images/fig_kappa9821.png

(a) Temperature-dependent lattice thermal conductivity

../../_images/fig_times21403.png

(b) Computation time