mp-570983/Sr4Sn2Se9/anharm

Harmonic properties

../../_images/fig_bandos_pr6883.png

(a) Phonon dispersion with participation ratio and DOS

../../_images/fig_thermo6883.png

(b) Thermodynamic properties

Grüneisen parameters

../../_images/fig_gru_all2843.png

(a) Grüneisen parameters

../../_images/fig_gruneisen2843.png

(b) Phonon dispersion with Grüneisen parameters

Thermal conductivity

3-phonon (LASSO) — q-mesh: 6x4x8, supercell: 1x1x2

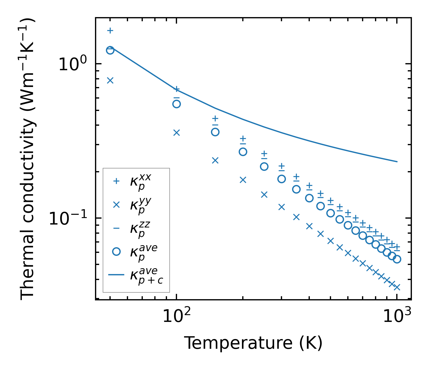
../../_images/fig_kappa5396.png

(a) Temperature-dependent lattice thermal conductivity

../../_images/fig_kappa_vs_grain_size2884.png

(b) Peierls lattice thermal conductivity w.r.t grain size

Phonon lifetime and scattering rates

../../_images/fig_lifetime2819.png

(a) Phonon lifetime due to phonon-phonon scattering

../../_images/fig_scat_rates2818.png

(b) Phonon scattering rates

Cumulative and spectral thermal conductivity

../../_images/fig_cumu_frequency2819.png

(a) Spectral and cumulative thermal conductivity w.r.t frequency

../../_images/fig_cumu_mfp2818.png

(b) Spectral and cumulative thermal conductivity w.r.t MFP

Force constants

../../_images/fig_fc26664.png

(a) Force constants w.r.t atomic distance

Summary

../../_images/fig_kappa5397.png

(a) Temperature-dependent lattice thermal conductivity

../../_images/fig_times12350.png

(b) Computation time