mp-570339/Tl4CdI6/anharm

Harmonic properties

../../_images/fig_bandos_pr6798.png

(a) Phonon dispersion with participation ratio and DOS

../../_images/fig_thermo6798.png

(b) Thermodynamic properties

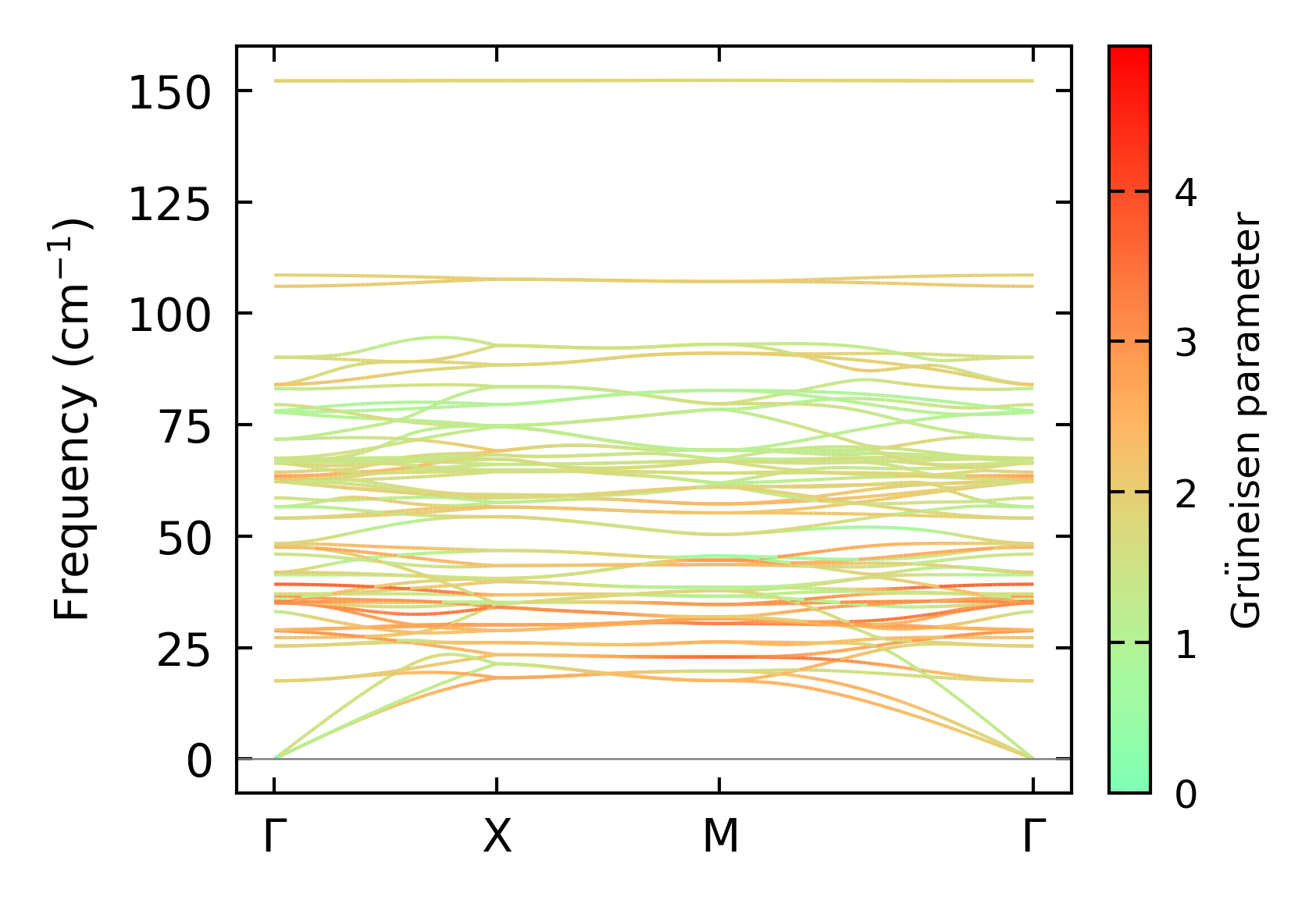
Grüneisen parameters

../../_images/fig_gru_all2792.png

(a) Grüneisen parameters

../../_images/fig_gruneisen2792.png

(b) Phonon dispersion with Grüneisen parameters

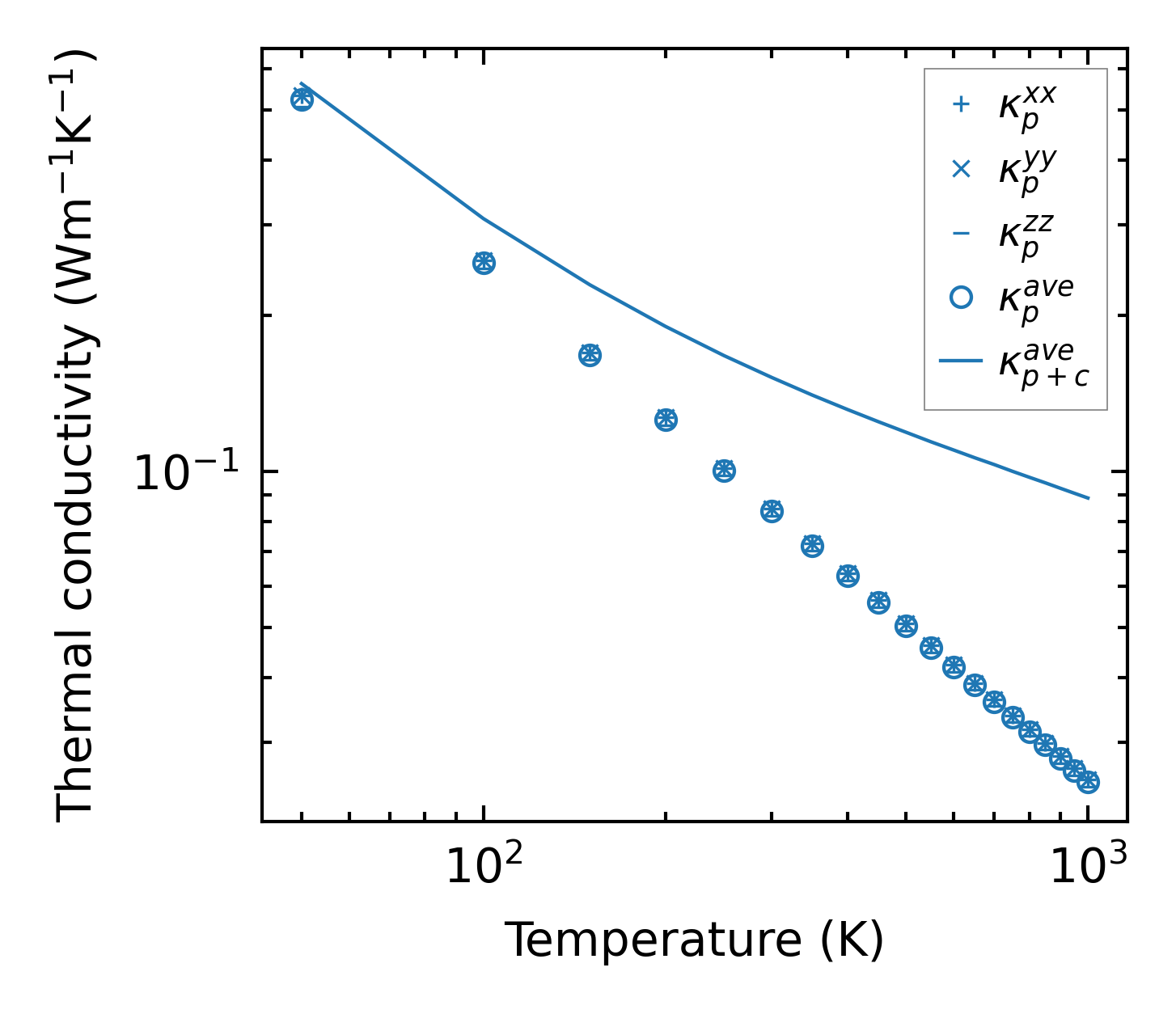
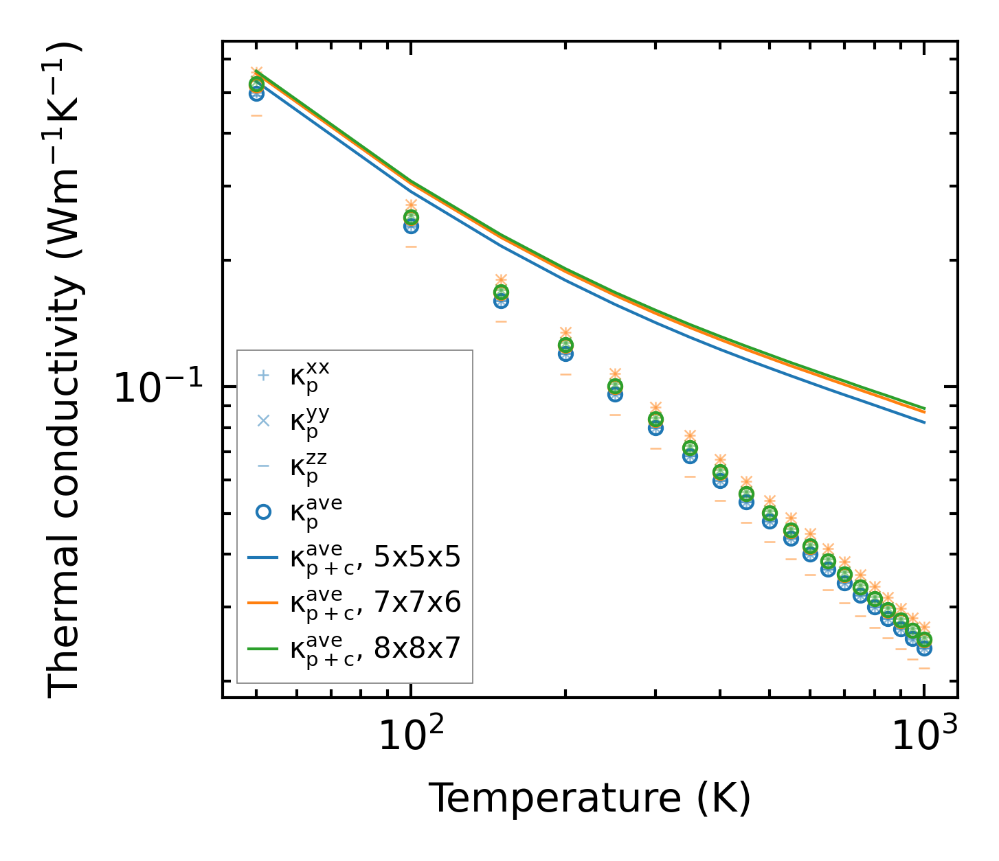
Thermal conductivity

3-phonon (LASSO) — q-mesh: 8x8x7, supercell: 2x2x1

../../_images/fig_kappa5304.png

(a) Temperature-dependent lattice thermal conductivity

../../_images/fig_kappa_vs_grain_size2833.png

(b) Peierls lattice thermal conductivity w.r.t grain size

Phonon lifetime and scattering rates

../../_images/fig_lifetime2768.png

(a) Phonon lifetime due to phonon-phonon scattering

../../_images/fig_scat_rates2767.png

(b) Phonon scattering rates

Cumulative and spectral thermal conductivity

../../_images/fig_cumu_frequency2768.png

(a) Spectral and cumulative thermal conductivity w.r.t frequency

../../_images/fig_cumu_mfp2767.png

(b) Spectral and cumulative thermal conductivity w.r.t MFP

Force constants

../../_images/fig_fc26585.png

(a) Force constants w.r.t atomic distance

Summary

../../_images/fig_kappa5305.png

(a) Temperature-dependent lattice thermal conductivity

../../_images/fig_times12201.png

(b) Computation time