mp-570536/Rb2AgAu3I8/anharm

Harmonic properties

../../_images/fig_bandos_pr6818.png

(a) Phonon dispersion with participation ratio and DOS

../../_images/fig_thermo6818.png

(b) Thermodynamic properties

Grüneisen parameters

../../_images/fig_gru_all2806.png

(a) Grüneisen parameters

../../_images/fig_gruneisen2806.png

(b) Phonon dispersion with Grüneisen parameters

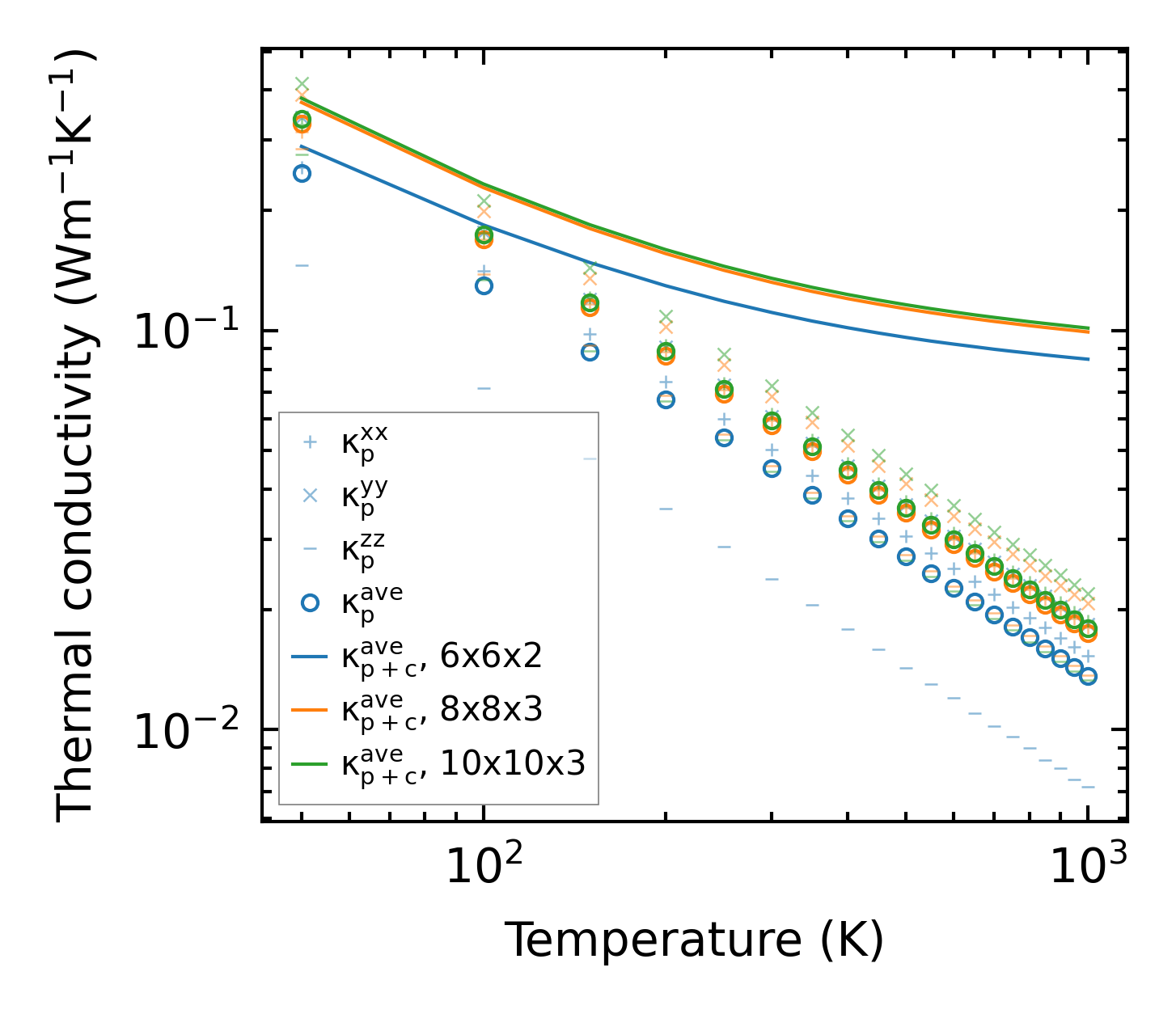
Thermal conductivity

3-phonon (LASSO) — q-mesh: 10x10x3, supercell: 1x2x1

../../_images/fig_kappa5330.png

(a) Temperature-dependent lattice thermal conductivity

../../_images/fig_kappa_vs_grain_size2847.png

(b) Peierls lattice thermal conductivity w.r.t grain size

Phonon lifetime and scattering rates

../../_images/fig_lifetime2782.png

(a) Phonon lifetime due to phonon-phonon scattering

../../_images/fig_scat_rates2781.png

(b) Phonon scattering rates

Cumulative and spectral thermal conductivity

../../_images/fig_cumu_frequency2782.png

(a) Spectral and cumulative thermal conductivity w.r.t frequency

../../_images/fig_cumu_mfp2781.png

(b) Spectral and cumulative thermal conductivity w.r.t MFP

Force constants

../../_images/fig_fc26603.png

(a) Force constants w.r.t atomic distance

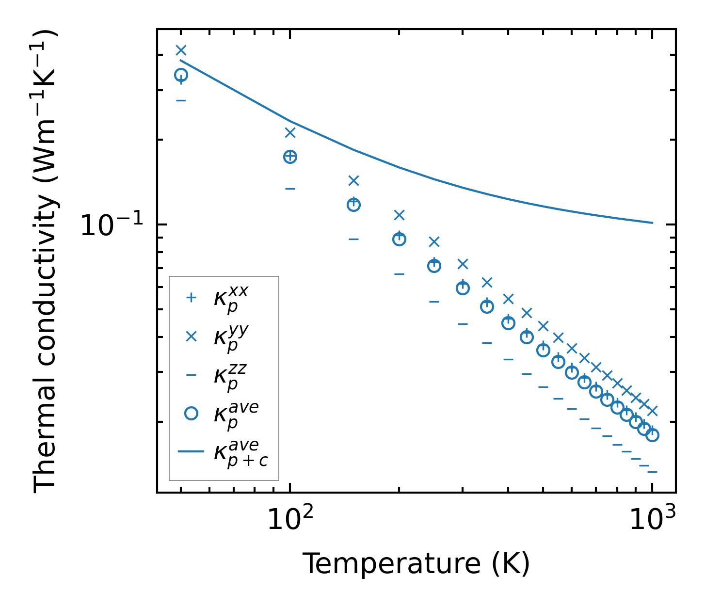
Summary

../../_images/fig_kappa5331.png

(a) Temperature-dependent lattice thermal conductivity

../../_images/fig_times12236.png

(b) Computation time