mp-570005-2/SbBr3/anharm

Equation of state

../../_images/fig_bm3763.png

(a) Equation of state

Harmonic properties

../../_images/fig_bandos_pr7082.png

(a) Phonon dispersion with participation ratio and DOS

../../_images/fig_bandos10058.png

(b) Phonon dispersion and DOS

../../_images/fig_thermo7082.png

(c) Thermodynamic properties

Grüneisen parameters

../../_images/fig_gru_all2956.png

(a) Grüneisen parameters

../../_images/fig_gruneisen2956.png

(b) Phonon dispersion with Grüneisen parameters

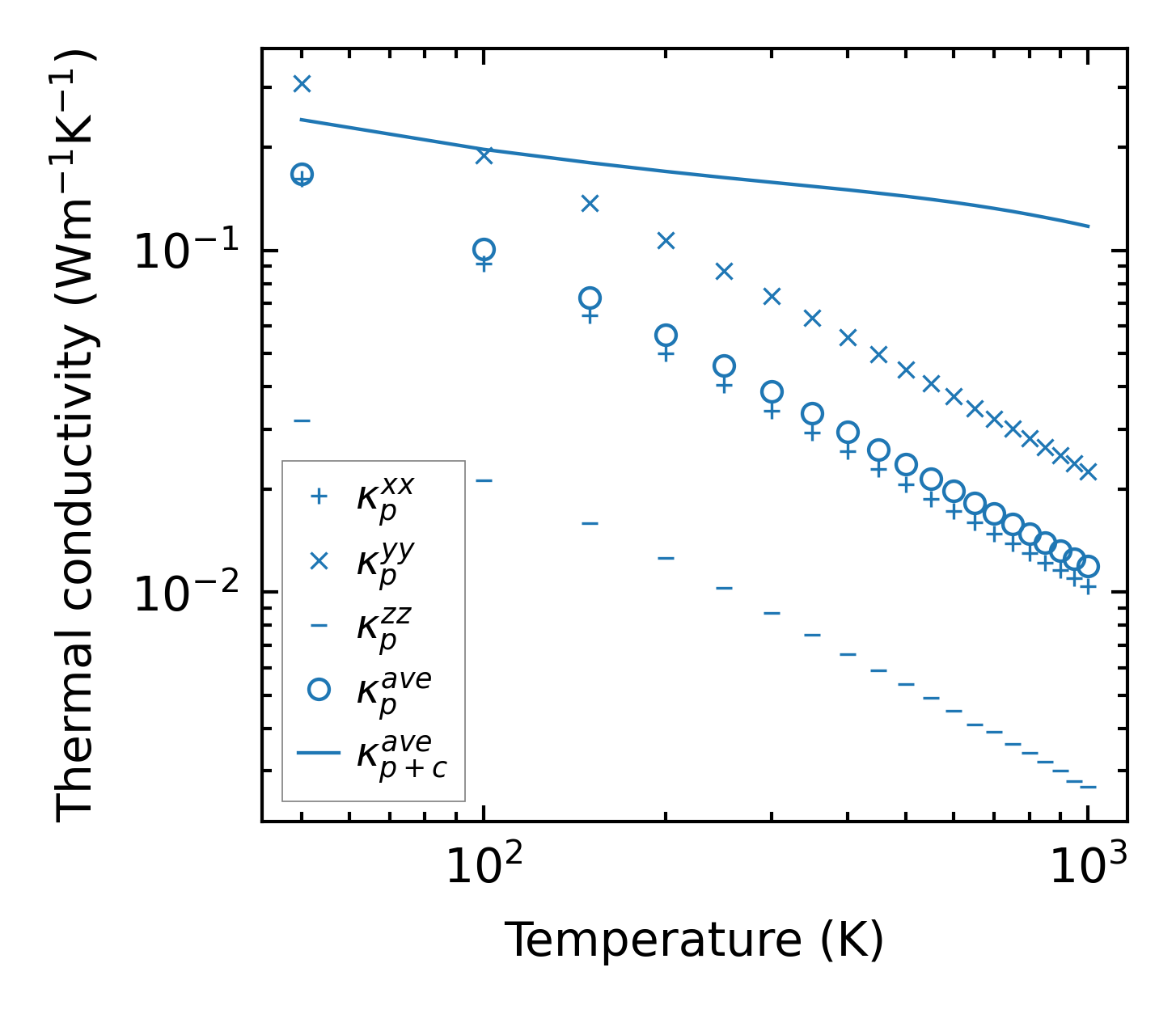
Thermal conductivity

3-phonon (LASSO) — q-mesh: 8x7x10, supercell: 2x2x2

../../_images/fig_kappa5605.png

(a) Temperature-dependent lattice thermal conductivity

../../_images/fig_kappa_vs_grain_size2997.png

(b) Peierls lattice thermal conductivity w.r.t grain size

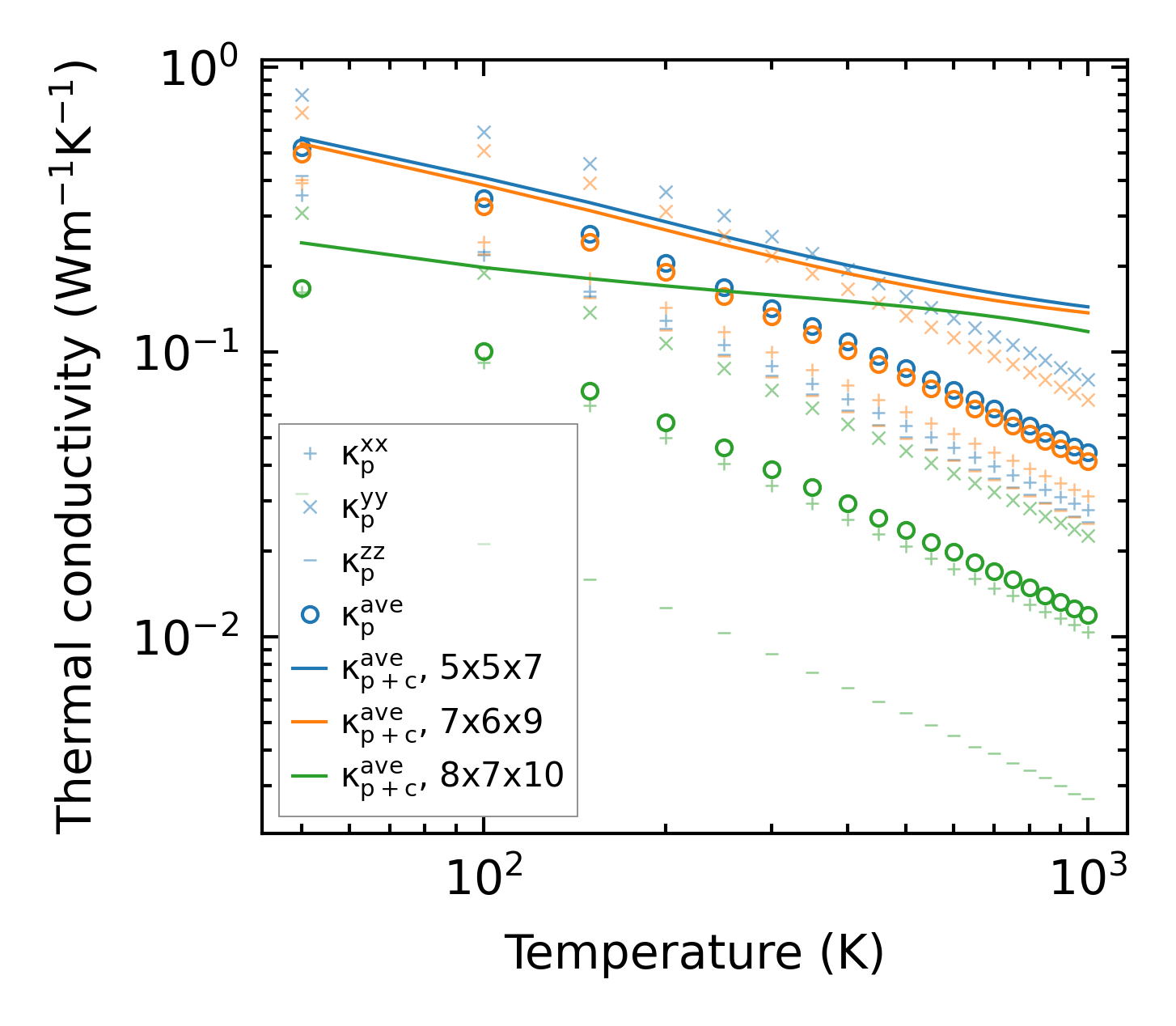
3-phonon (LASSO), supercell 2x2x3 — q-mesh: 8x7x10, supercell: 2x2x3

../../_images/fig_kappa5606.png

(a) Temperature-dependent lattice thermal conductivity

../../_images/fig_kappa_vs_grain_size2998.png

(b) Peierls lattice thermal conductivity w.r.t grain size

Phonon lifetime and scattering rates

../../_images/fig_lifetime2931.png

(a) Phonon lifetime due to phonon-phonon scattering

../../_images/fig_scat_rates2930.png

(b) Phonon scattering rates

Cumulative and spectral thermal conductivity

../../_images/fig_cumu_frequency2931.png

(a) Spectral and cumulative thermal conductivity w.r.t frequency

../../_images/fig_cumu_mfp2930.png

(b) Spectral and cumulative thermal conductivity w.r.t MFP

Force constants

../../_images/fig_fc26857.png

(a) Force constants w.r.t atomic distance

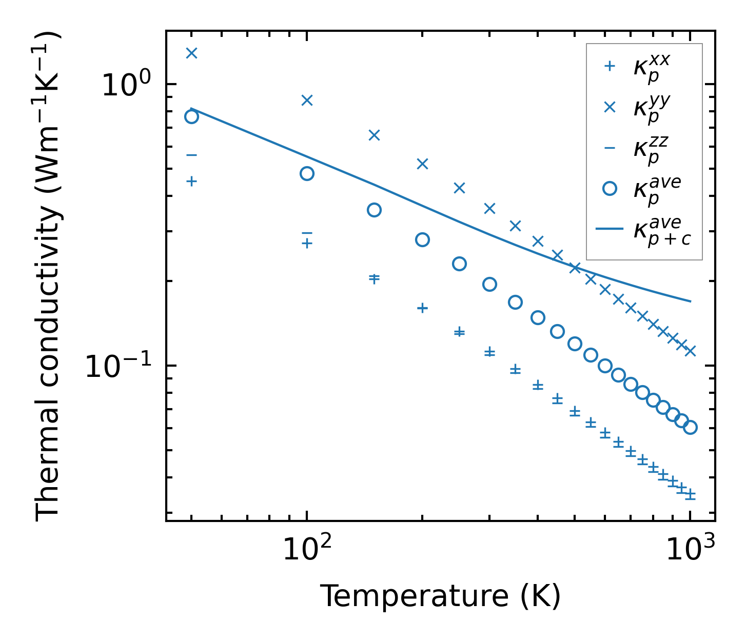
Summary

../../_images/fig_kappa5607.png

(a) Temperature-dependent lattice thermal conductivity

../../_images/fig_times12635.png

(b) Computation time