mp-570886/BeI2/anharm

Harmonic properties

../../_images/fig_bandos_pr6870.png

(a) Phonon dispersion with participation ratio and DOS

../../_images/fig_thermo6870.png

(b) Thermodynamic properties

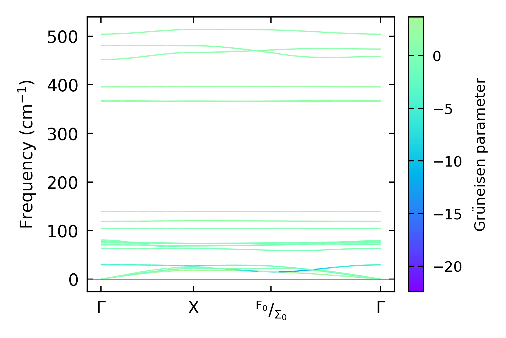
Grüneisen parameters

../../_images/fig_gru_all2833.png

(a) Grüneisen parameters

../../_images/fig_gruneisen2833.png

(b) Phonon dispersion with Grüneisen parameters

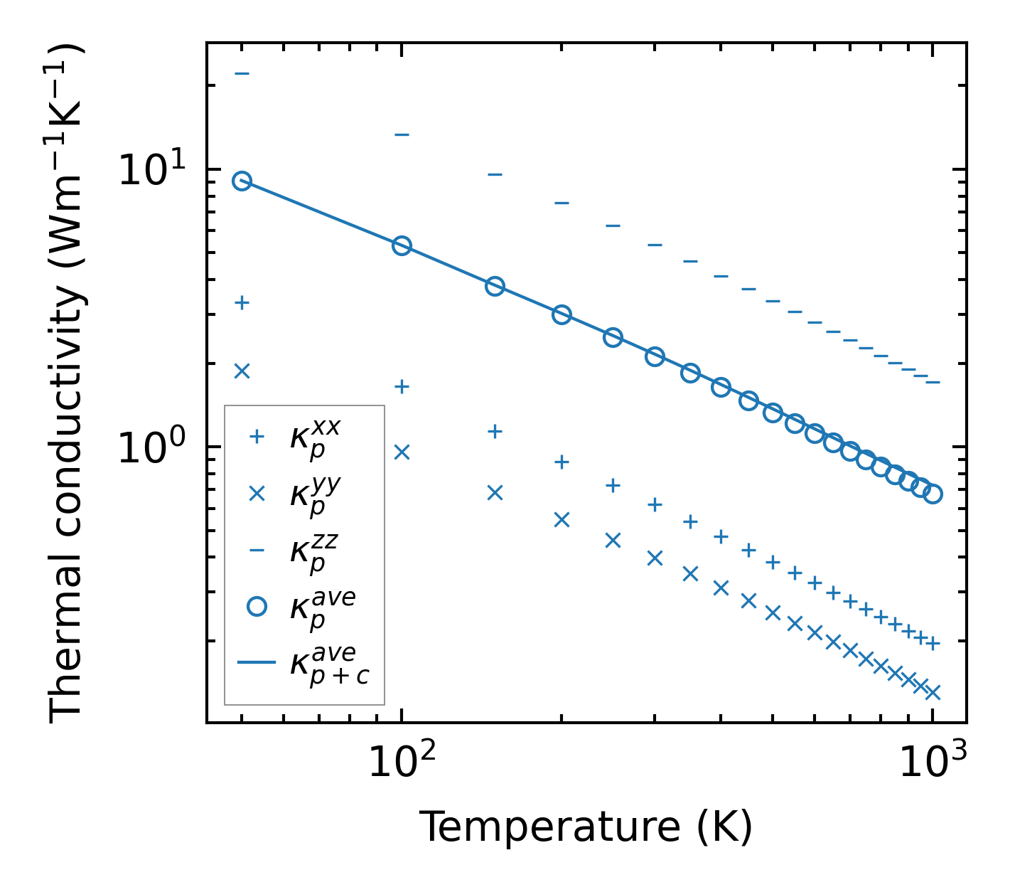
Thermal conductivity

3-phonon (LASSO) — q-mesh: 12x12x12, supercell: 2x2x3

../../_images/fig_kappa5380.png

(a) Temperature-dependent lattice thermal conductivity

../../_images/fig_kappa_vs_grain_size2874.png

(b) Peierls lattice thermal conductivity w.r.t grain size

Phonon lifetime and scattering rates

../../_images/fig_lifetime2809.png

(a) Phonon lifetime due to phonon-phonon scattering

../../_images/fig_scat_rates2808.png

(b) Phonon scattering rates

Cumulative and spectral thermal conductivity

../../_images/fig_cumu_frequency2809.png

(a) Spectral and cumulative thermal conductivity w.r.t frequency

../../_images/fig_cumu_mfp2808.png

(b) Spectral and cumulative thermal conductivity w.r.t MFP

Force constants

../../_images/fig_fc26653.png

(a) Force constants w.r.t atomic distance

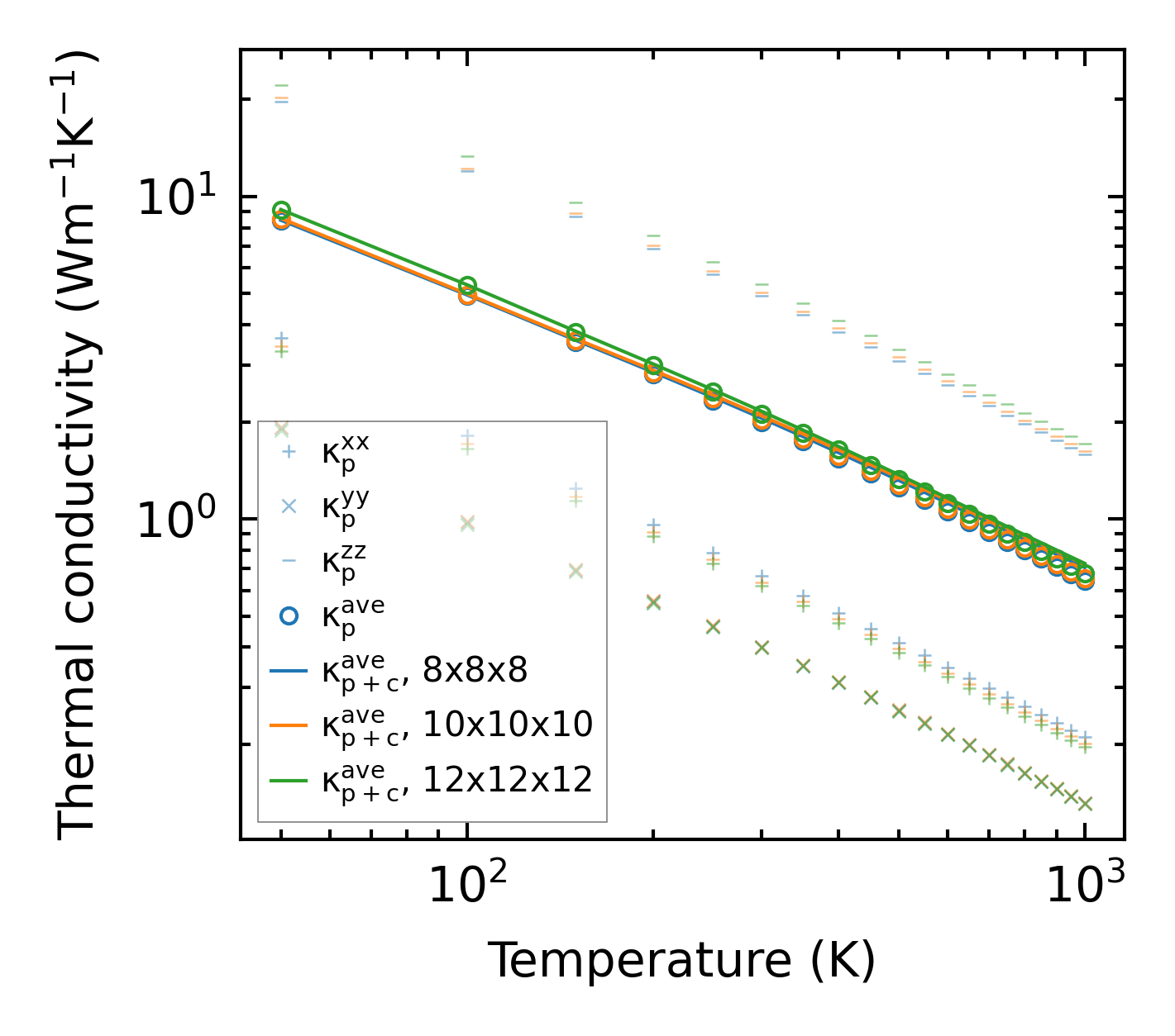
Summary

../../_images/fig_kappa5381.png

(a) Temperature-dependent lattice thermal conductivity

../../_images/fig_times12327.png

(b) Computation time