mp-570431/AgTe3I/anharm

Harmonic properties

../../_images/fig_bandos_pr6807.png

(a) Phonon dispersion with participation ratio and DOS

../../_images/fig_thermo6807.png

(b) Thermodynamic properties

Grüneisen parameters

../../_images/fig_gru_all2799.png

(a) Grüneisen parameters

../../_images/fig_gruneisen2799.png

(b) Phonon dispersion with Grüneisen parameters

Thermal conductivity

3-phonon (LASSO) — q-mesh: 4x15x8, supercell: 1x3x2

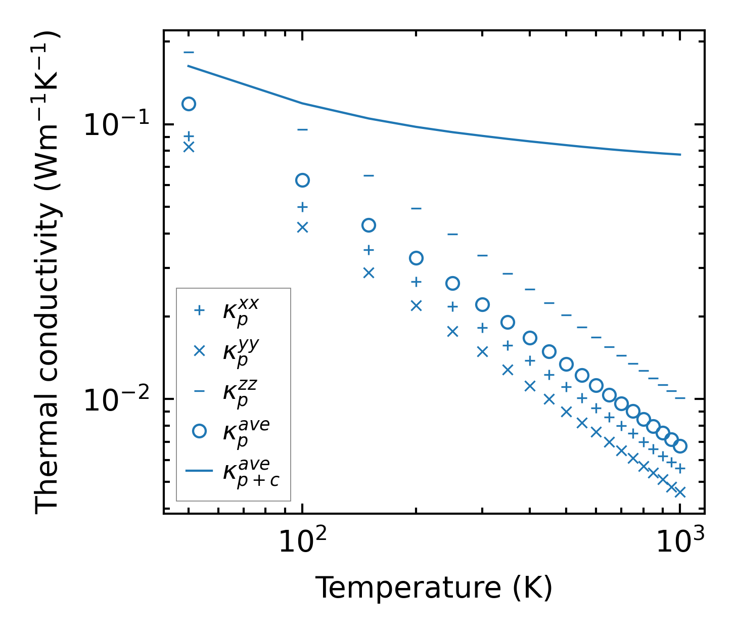
../../_images/fig_kappa5318.png

(a) Temperature-dependent lattice thermal conductivity

../../_images/fig_kappa_vs_grain_size2840.png

(b) Peierls lattice thermal conductivity w.r.t grain size

Phonon lifetime and scattering rates

../../_images/fig_lifetime2775.png

(a) Phonon lifetime due to phonon-phonon scattering

../../_images/fig_scat_rates2774.png

(b) Phonon scattering rates

Cumulative and spectral thermal conductivity

../../_images/fig_cumu_frequency2775.png

(a) Spectral and cumulative thermal conductivity w.r.t frequency

../../_images/fig_cumu_mfp2774.png

(b) Spectral and cumulative thermal conductivity w.r.t MFP

Force constants

../../_images/fig_fc26592.png

(a) Force constants w.r.t atomic distance

Summary

../../_images/fig_kappa5319.png

(a) Temperature-dependent lattice thermal conductivity

../../_images/fig_times12214.png

(b) Computation time