mp-570555/Ca7GeN6/anharm

Harmonic properties

../../_images/fig_bandos_pr6827.png

(a) Phonon dispersion with participation ratio and DOS

../../_images/fig_thermo6827.png

(b) Thermodynamic properties

Grüneisen parameters

../../_images/fig_gru_all2811.png

(a) Grüneisen parameters

../../_images/fig_gruneisen2811.png

(b) Phonon dispersion with Grüneisen parameters

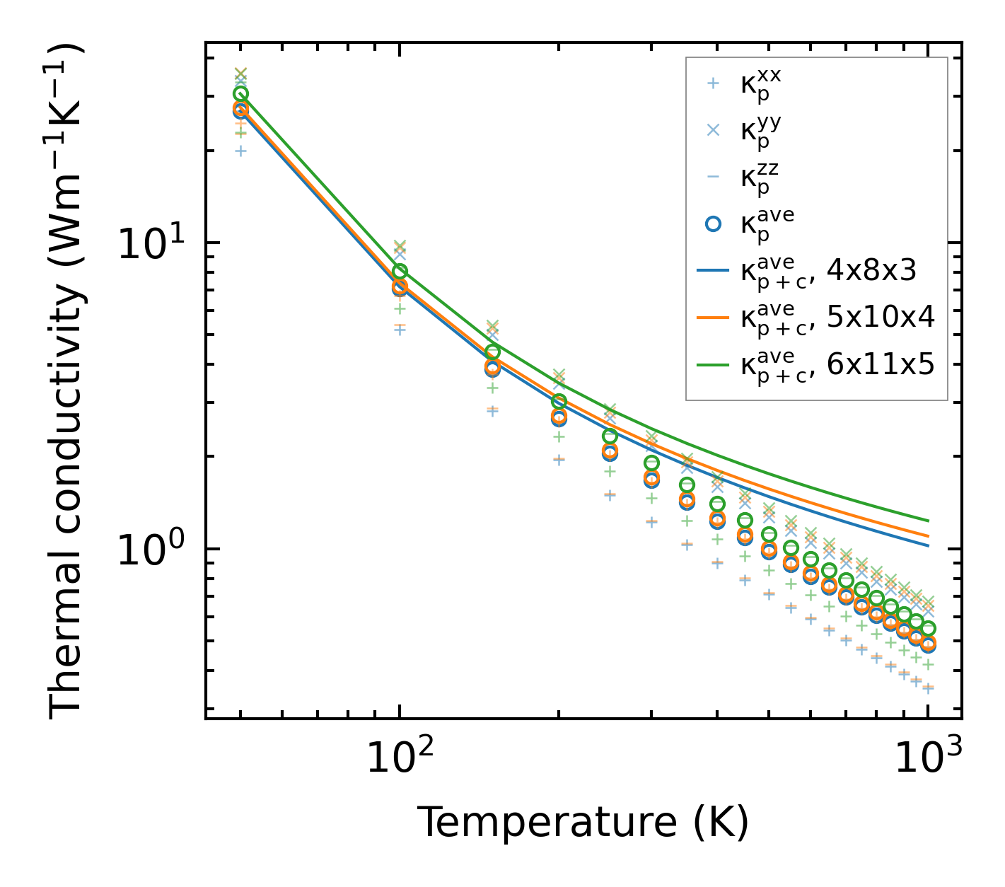
Thermal conductivity

3-phonon (LASSO) — q-mesh: 6x11x5, supercell: 1x2x1

../../_images/fig_kappa5339.png

(a) Temperature-dependent lattice thermal conductivity

../../_images/fig_kappa_vs_grain_size2852.png

(b) Peierls lattice thermal conductivity w.r.t grain size

Phonon lifetime and scattering rates

../../_images/fig_lifetime2787.png

(a) Phonon lifetime due to phonon-phonon scattering

../../_images/fig_scat_rates2786.png

(b) Phonon scattering rates

Cumulative and spectral thermal conductivity

../../_images/fig_cumu_frequency2787.png

(a) Spectral and cumulative thermal conductivity w.r.t frequency

../../_images/fig_cumu_mfp2786.png

(b) Spectral and cumulative thermal conductivity w.r.t MFP

Force constants

../../_images/fig_fc26612.png

(a) Force constants w.r.t atomic distance

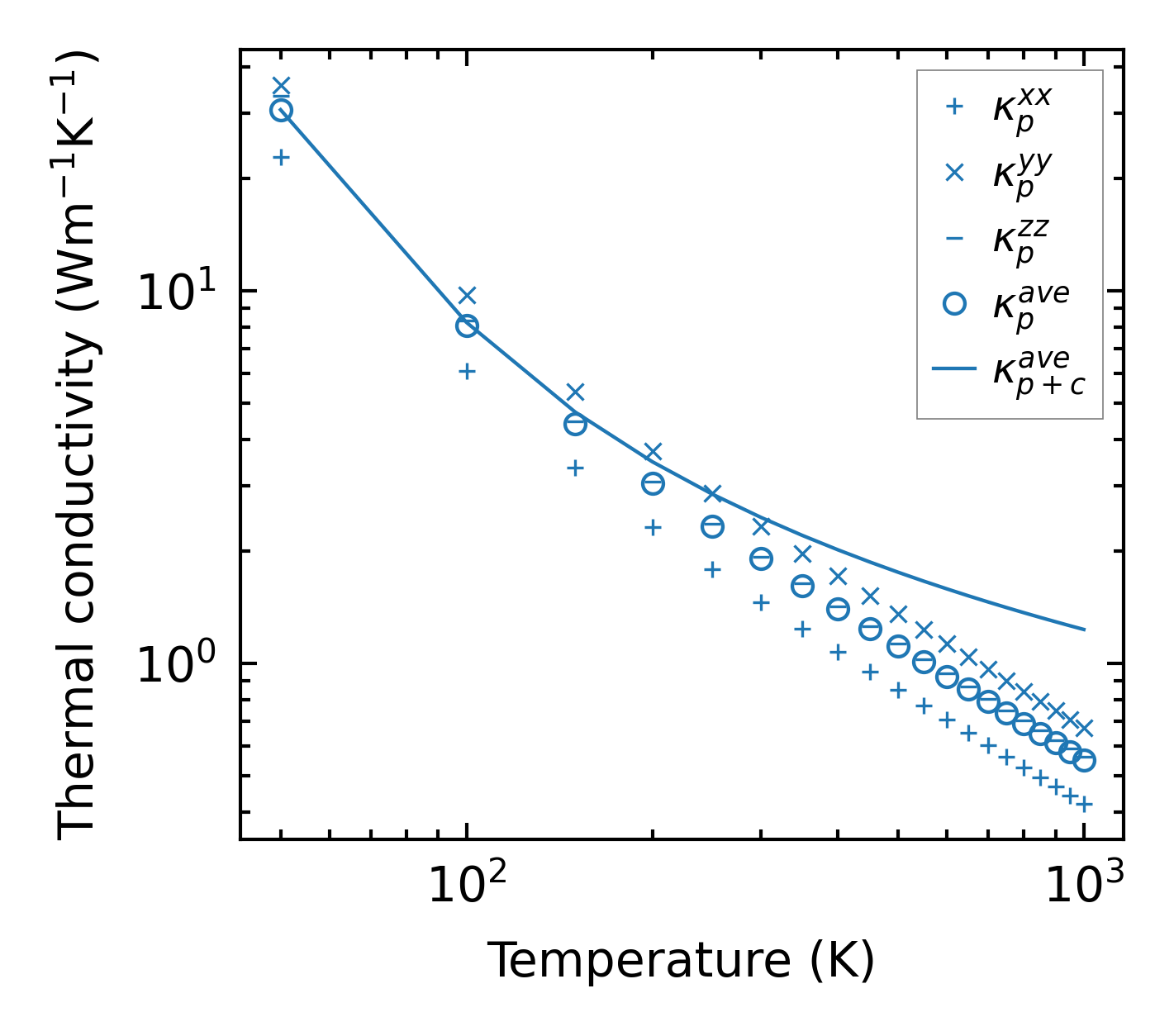
Summary

../../_images/fig_kappa5340.png

(a) Temperature-dependent lattice thermal conductivity

../../_images/fig_times12248.png

(b) Computation time