mp-570817/Cu2P8Se3I2/anharm

Harmonic properties

../../_images/fig_bandos_pr6862.png

(a) Phonon dispersion with participation ratio and DOS

../../_images/fig_thermo6862.png

(b) Thermodynamic properties

Grüneisen parameters

../../_images/fig_gru_all2829.png

(a) Grüneisen parameters

../../_images/fig_gruneisen2829.png

(b) Phonon dispersion with Grüneisen parameters

Thermal conductivity

3-phonon (LASSO) — q-mesh: 7x5x5, supercell: 2x1x1

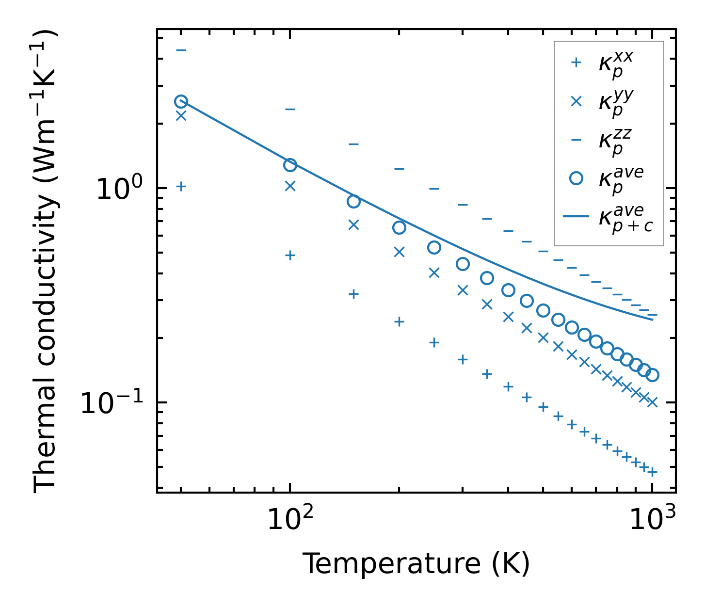
../../_images/fig_kappa5372.png

(a) Temperature-dependent lattice thermal conductivity

../../_images/fig_kappa_vs_grain_size2870.png

(b) Peierls lattice thermal conductivity w.r.t grain size

Phonon lifetime and scattering rates

../../_images/fig_lifetime2805.png

(a) Phonon lifetime due to phonon-phonon scattering

../../_images/fig_scat_rates2804.png

(b) Phonon scattering rates

Cumulative and spectral thermal conductivity

../../_images/fig_cumu_frequency2805.png

(a) Spectral and cumulative thermal conductivity w.r.t frequency

../../_images/fig_cumu_mfp2804.png

(b) Spectral and cumulative thermal conductivity w.r.t MFP

Force constants

../../_images/fig_fc26645.png

(a) Force constants w.r.t atomic distance

Summary

../../_images/fig_kappa5373.png

(a) Temperature-dependent lattice thermal conductivity

../../_images/fig_times12316.png

(b) Computation time