mp-570590/CdBiSe2Br/anharm

Harmonic properties

../../_images/fig_bandos_pr6835.png

(a) Phonon dispersion with participation ratio and DOS

../../_images/fig_thermo6835.png

(b) Thermodynamic properties

Grüneisen parameters

../../_images/fig_gru_all2814.png

(a) Grüneisen parameters

../../_images/fig_gruneisen2814.png

(b) Phonon dispersion with Grüneisen parameters

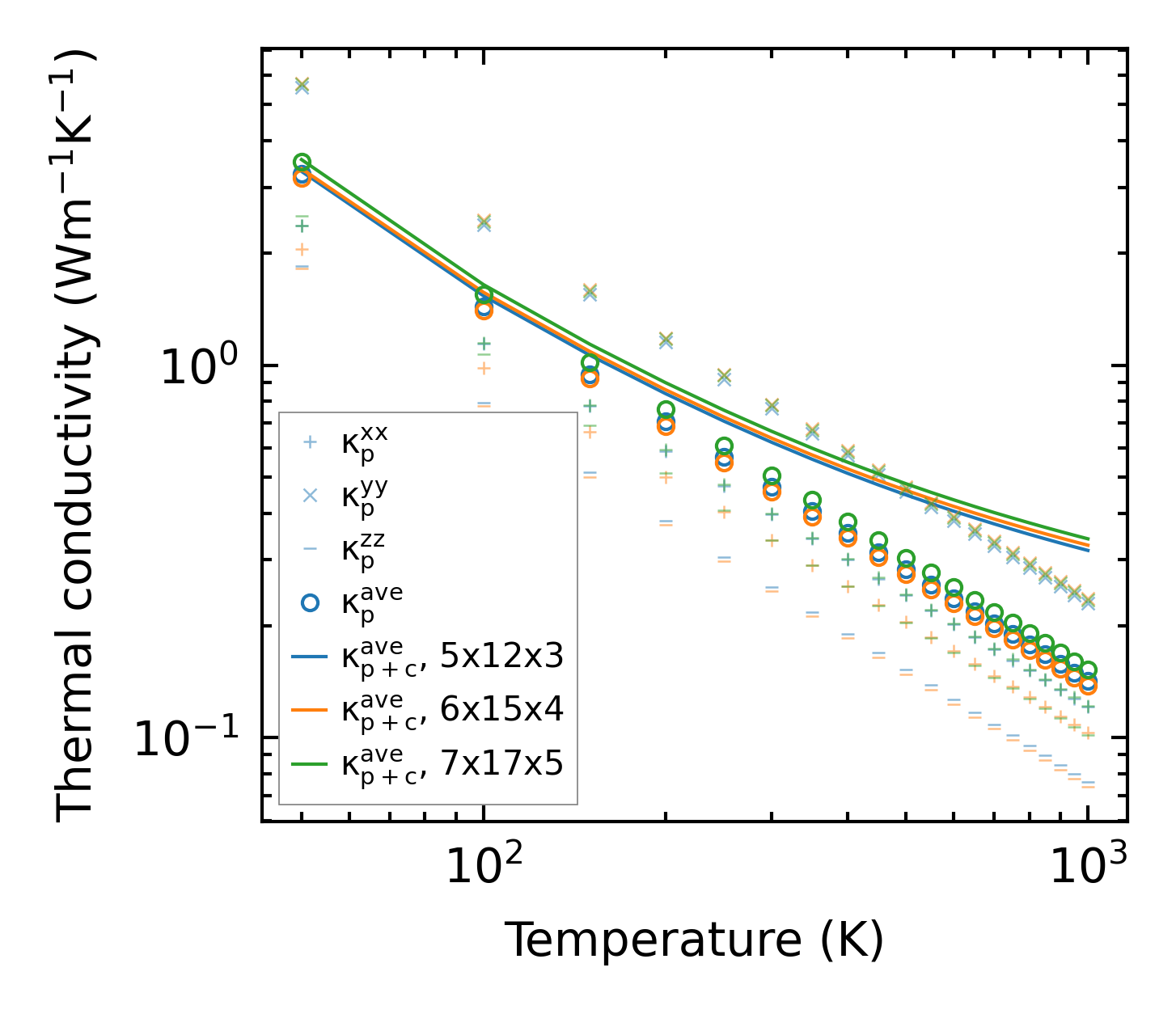
Thermal conductivity

3-phonon (LASSO) — q-mesh: 7x17x5, supercell: 2x3x1

../../_images/fig_kappa5344.png

(a) Temperature-dependent lattice thermal conductivity

../../_images/fig_kappa_vs_grain_size2855.png

(b) Peierls lattice thermal conductivity w.r.t grain size

Phonon lifetime and scattering rates

../../_images/fig_lifetime2790.png

(a) Phonon lifetime due to phonon-phonon scattering

../../_images/fig_scat_rates2789.png

(b) Phonon scattering rates

Cumulative and spectral thermal conductivity

../../_images/fig_cumu_frequency2790.png

(a) Spectral and cumulative thermal conductivity w.r.t frequency

../../_images/fig_cumu_mfp2789.png

(b) Spectral and cumulative thermal conductivity w.r.t MFP

Force constants

../../_images/fig_fc26620.png

(a) Force constants w.r.t atomic distance

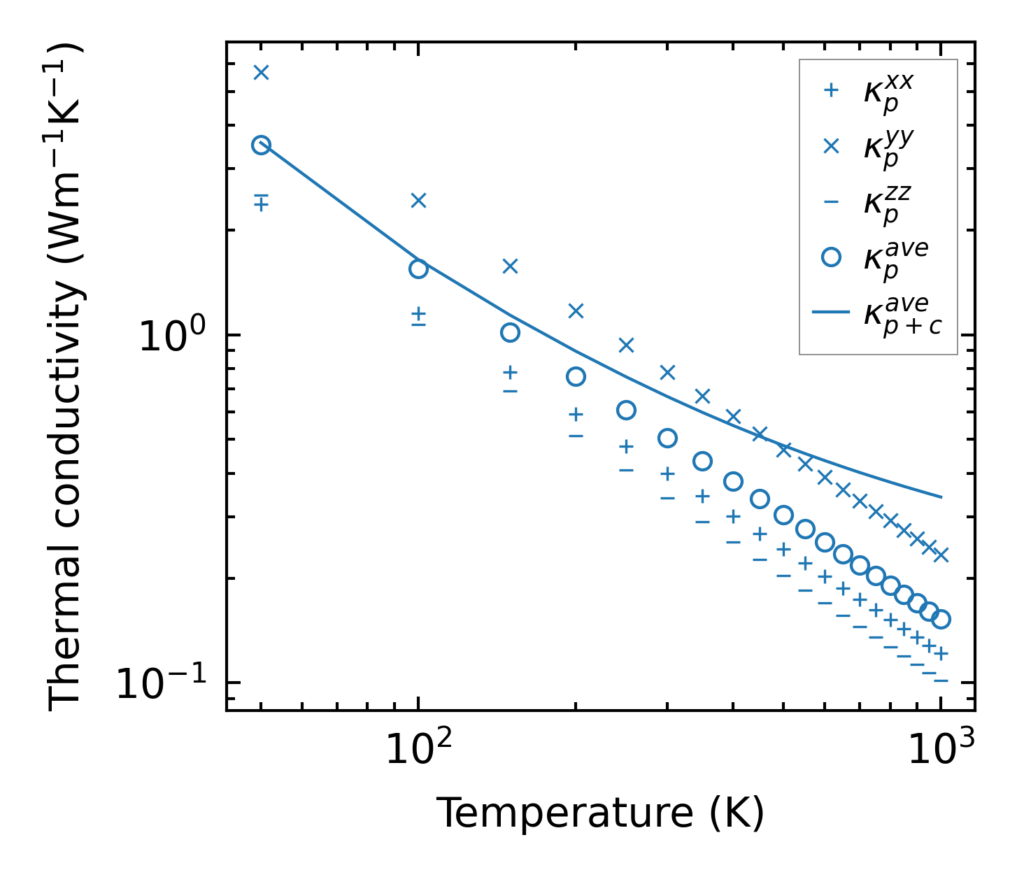
Summary

../../_images/fig_kappa5345.png

(a) Temperature-dependent lattice thermal conductivity

../../_images/fig_times12259.png

(b) Computation time