mp-570935/LiI/anharm

Harmonic properties

../../_images/fig_bandos_pr6876.png

(a) Phonon dispersion with participation ratio and DOS

../../_images/fig_thermo6876.png

(b) Thermodynamic properties

Grüneisen parameters

../../_images/fig_gru_all2838.png

(a) Grüneisen parameters

../../_images/fig_gruneisen2838.png

(b) Phonon dispersion with Grüneisen parameters

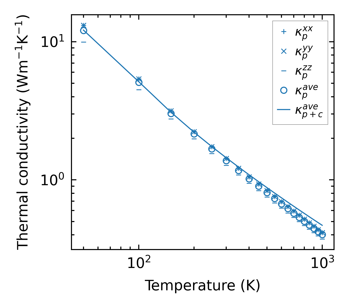
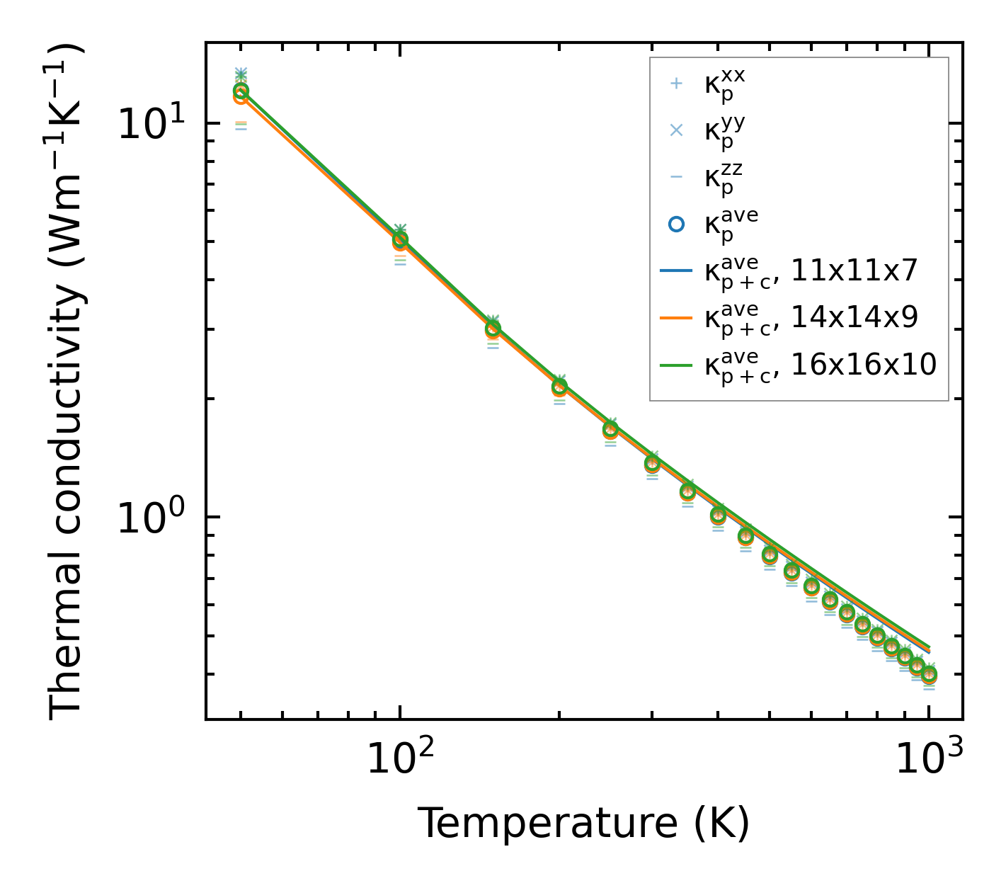
Thermal conductivity

3-phonon (LASSO) — q-mesh: 16x16x10, supercell: 4x4x2

../../_images/fig_kappa5387.png

(a) Temperature-dependent lattice thermal conductivity

../../_images/fig_kappa_vs_grain_size2879.png

(b) Peierls lattice thermal conductivity w.r.t grain size

Phonon lifetime and scattering rates

../../_images/fig_lifetime2814.png

(a) Phonon lifetime due to phonon-phonon scattering

../../_images/fig_scat_rates2813.png

(b) Phonon scattering rates

Cumulative and spectral thermal conductivity

../../_images/fig_cumu_frequency2814.png

(a) Spectral and cumulative thermal conductivity w.r.t frequency

../../_images/fig_cumu_mfp2813.png

(b) Spectral and cumulative thermal conductivity w.r.t MFP

Force constants

../../_images/fig_fc26658.png

(a) Force constants w.r.t atomic distance

Summary

../../_images/fig_kappa5388.png

(a) Temperature-dependent lattice thermal conductivity

../../_images/fig_times12336.png

(b) Computation time