mp-570623/Pr4Te3N2/anharm

Harmonic properties

../../_images/fig_bandos_pr6845.png

(a) Phonon dispersion with participation ratio and DOS

../../_images/fig_thermo6845.png

(b) Thermodynamic properties

Grüneisen parameters

../../_images/fig_gru_all2818.png

(a) Grüneisen parameters

../../_images/fig_gruneisen2818.png

(b) Phonon dispersion with Grüneisen parameters

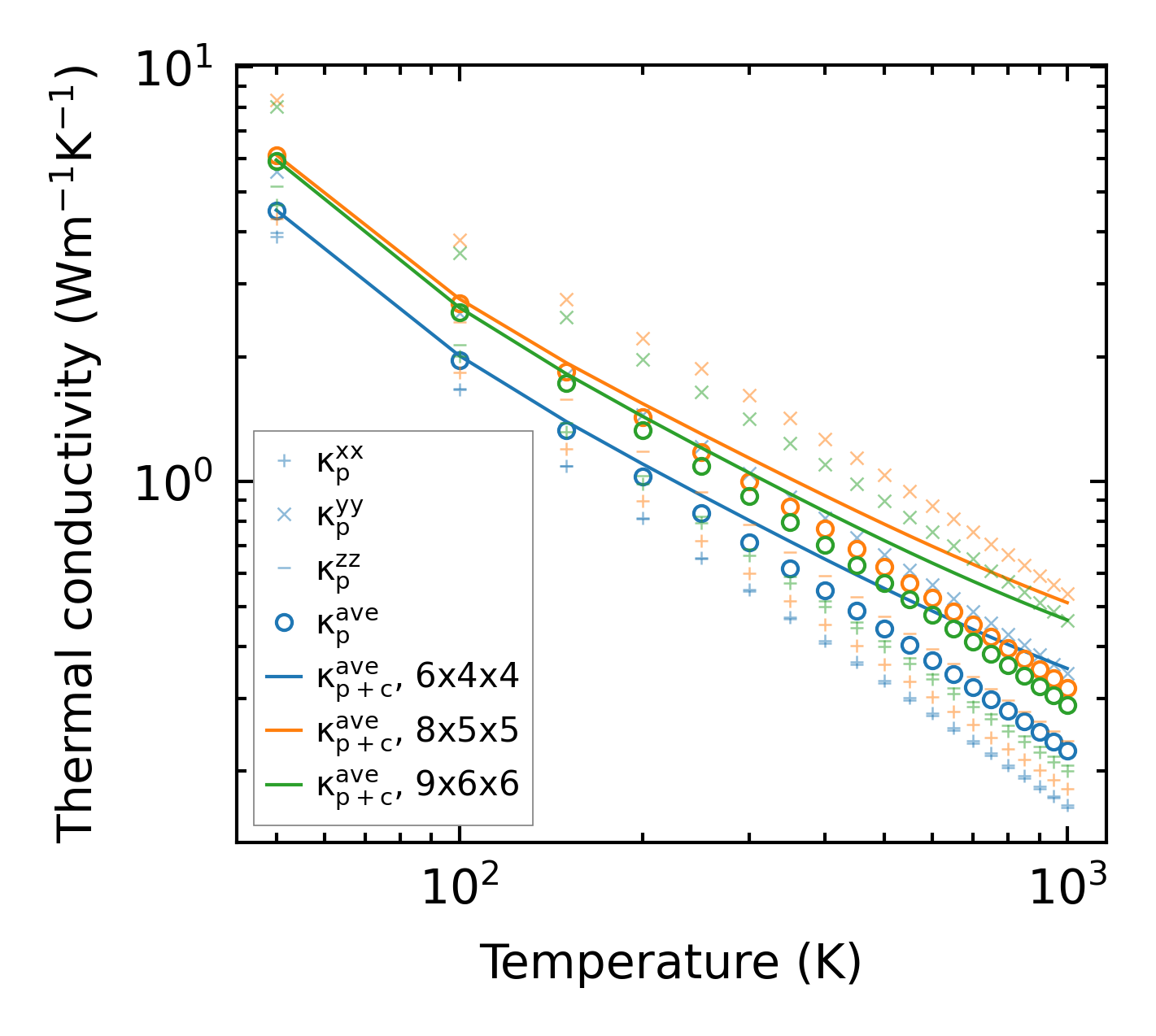
Thermal conductivity

3-phonon (LASSO) — q-mesh: 9x6x6, supercell: 2x1x2

../../_images/fig_kappa5350.png

(a) Temperature-dependent lattice thermal conductivity

../../_images/fig_kappa_vs_grain_size2859.png

(b) Peierls lattice thermal conductivity w.r.t grain size

Phonon lifetime and scattering rates

../../_images/fig_lifetime2794.png

(a) Phonon lifetime due to phonon-phonon scattering

../../_images/fig_scat_rates2793.png

(b) Phonon scattering rates

Cumulative and spectral thermal conductivity

../../_images/fig_cumu_frequency2794.png

(a) Spectral and cumulative thermal conductivity w.r.t frequency

../../_images/fig_cumu_mfp2793.png

(b) Spectral and cumulative thermal conductivity w.r.t MFP

Force constants

../../_images/fig_fc26629.png

(a) Force constants w.r.t atomic distance

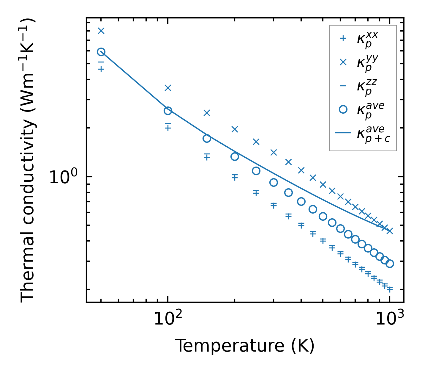
Summary

../../_images/fig_kappa5351.png

(a) Temperature-dependent lattice thermal conductivity

../../_images/fig_times12277.png

(b) Computation time