mp-570597/La2GeI2/anharm

Harmonic properties

../../_images/fig_bandos_pr6839.png

(a) Phonon dispersion with participation ratio and DOS

../../_images/fig_thermo6839.png

(b) Thermodynamic properties

Grüneisen parameters

../../_images/fig_gru_all2816.png

(a) Grüneisen parameters

../../_images/fig_gruneisen2816.png

(b) Phonon dispersion with Grüneisen parameters

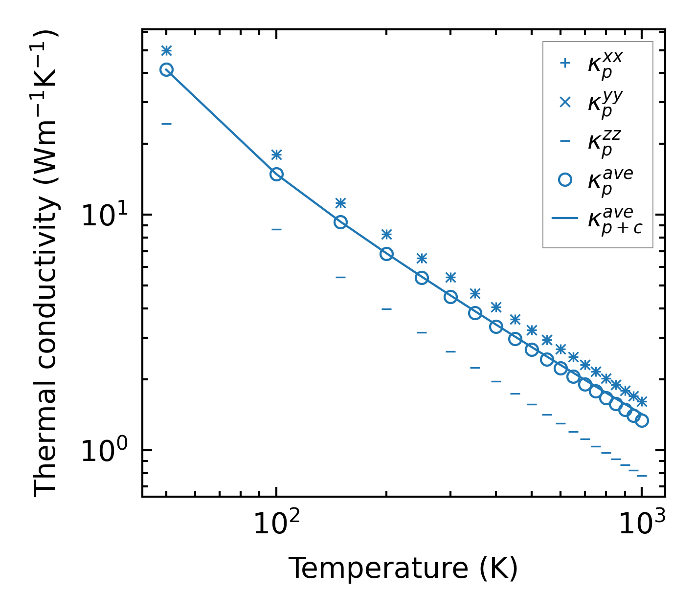
Thermal conductivity

3-phonon — q-mesh: 17x17x6, supercell: 3x3x2

../../_images/fig_kappa5347.png

(a) Temperature-dependent lattice thermal conductivity

../../_images/fig_kappa_vs_grain_size2857.png

(b) Peierls lattice thermal conductivity w.r.t grain size

Phonon lifetime and scattering rates

../../_images/fig_lifetime2792.png

(a) Phonon lifetime due to phonon-phonon scattering

../../_images/fig_scat_rates2791.png

(b) Phonon scattering rates

Cumulative and spectral thermal conductivity

../../_images/fig_cumu_frequency2792.png

(a) Spectral and cumulative thermal conductivity w.r.t frequency

../../_images/fig_cumu_mfp2791.png

(b) Spectral and cumulative thermal conductivity w.r.t MFP

Force constants

../../_images/fig_fc3215.png

(a) Force constants w.r.t atomic distance

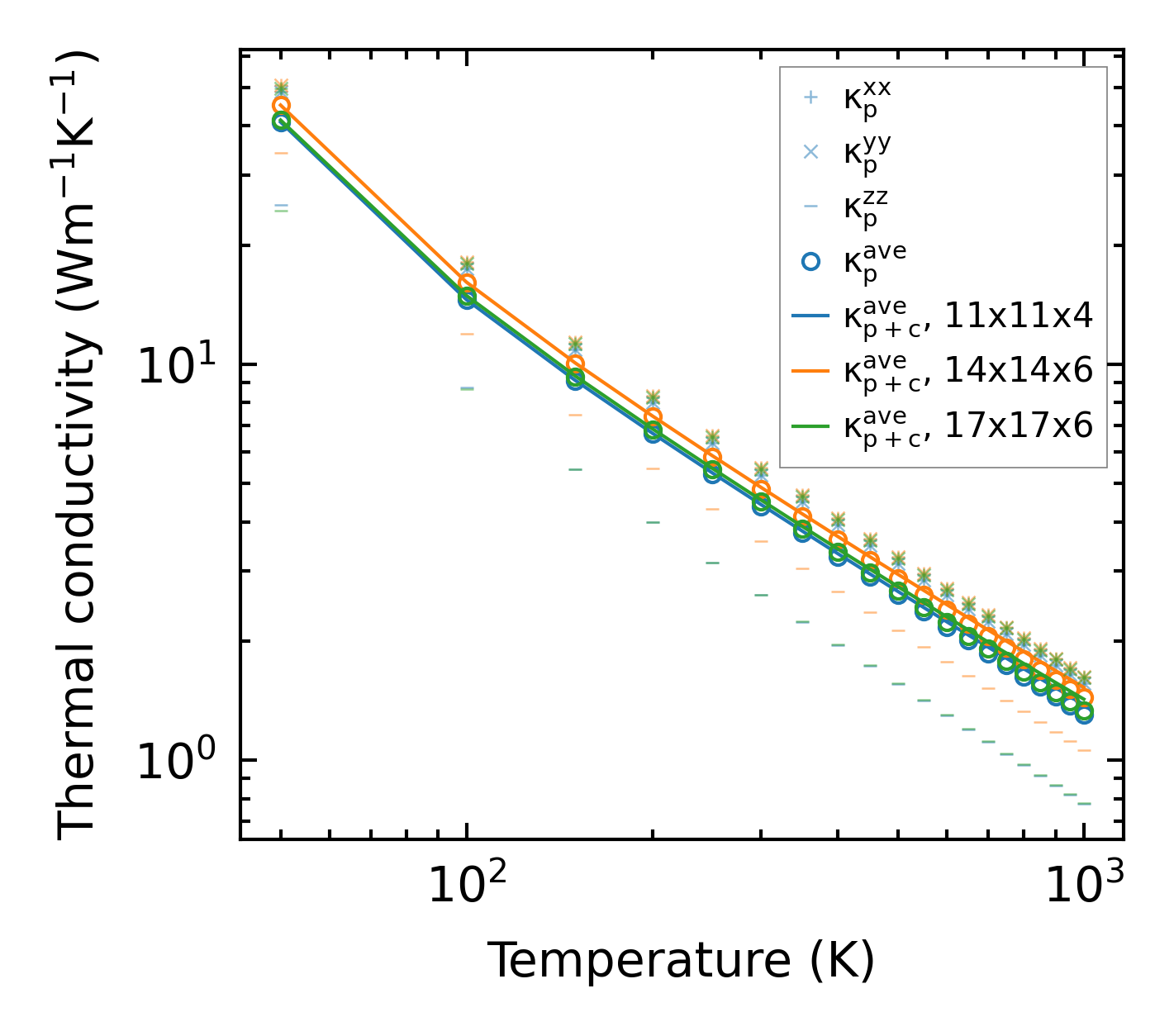
Summary

../../_images/fig_kappa5348.png

(a) Temperature-dependent lattice thermal conductivity

../../_images/fig_times12264.png

(b) Computation time