mp-570641/SiC/anharm

Harmonic properties

../../_images/fig_bandos_pr6846.png

(a) Phonon dispersion with participation ratio and DOS

../../_images/fig_thermo6846.png

(b) Thermodynamic properties

Grüneisen parameters

../../_images/fig_gru_all2819.png

(a) Grüneisen parameters

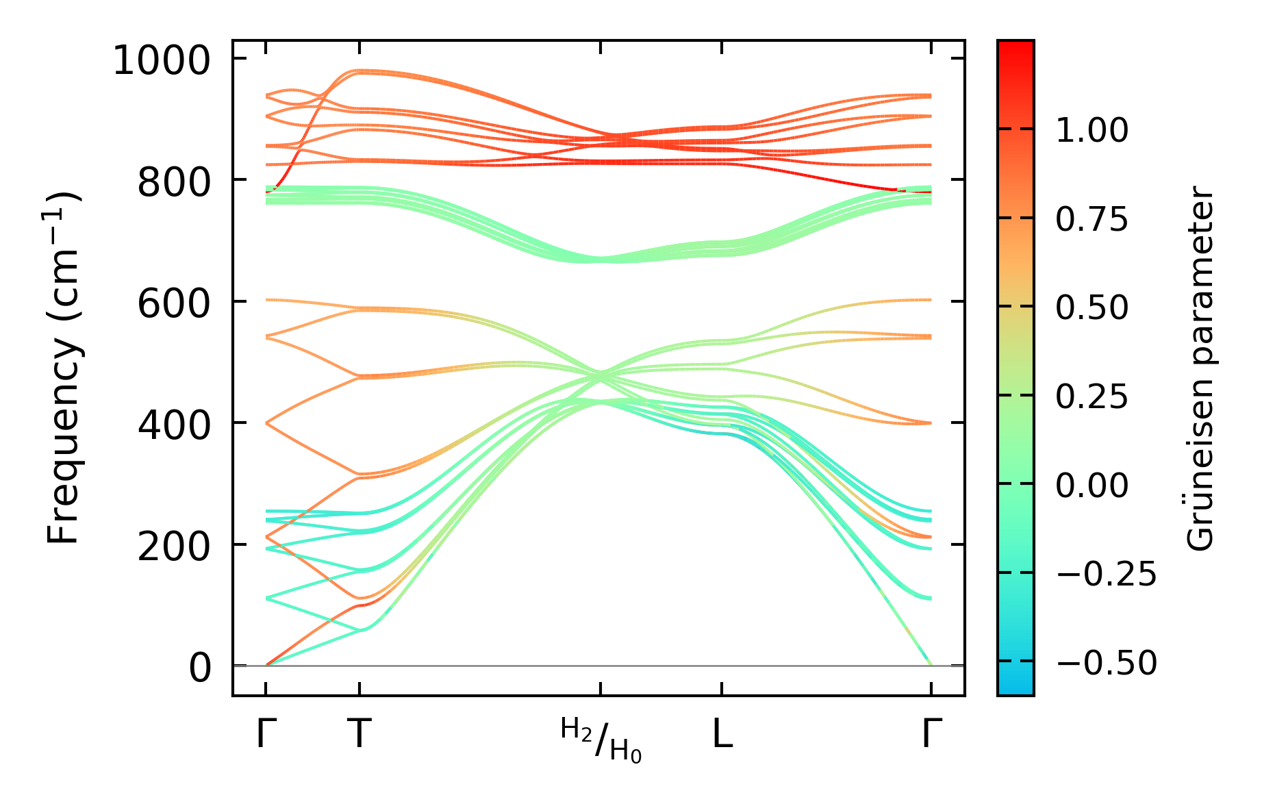
../../_images/fig_gruneisen2819.png

(b) Phonon dispersion with Grüneisen parameters

Thermal conductivity

3-phonon (LASSO) — q-mesh: 13x13x13, supercell: 1x1x1

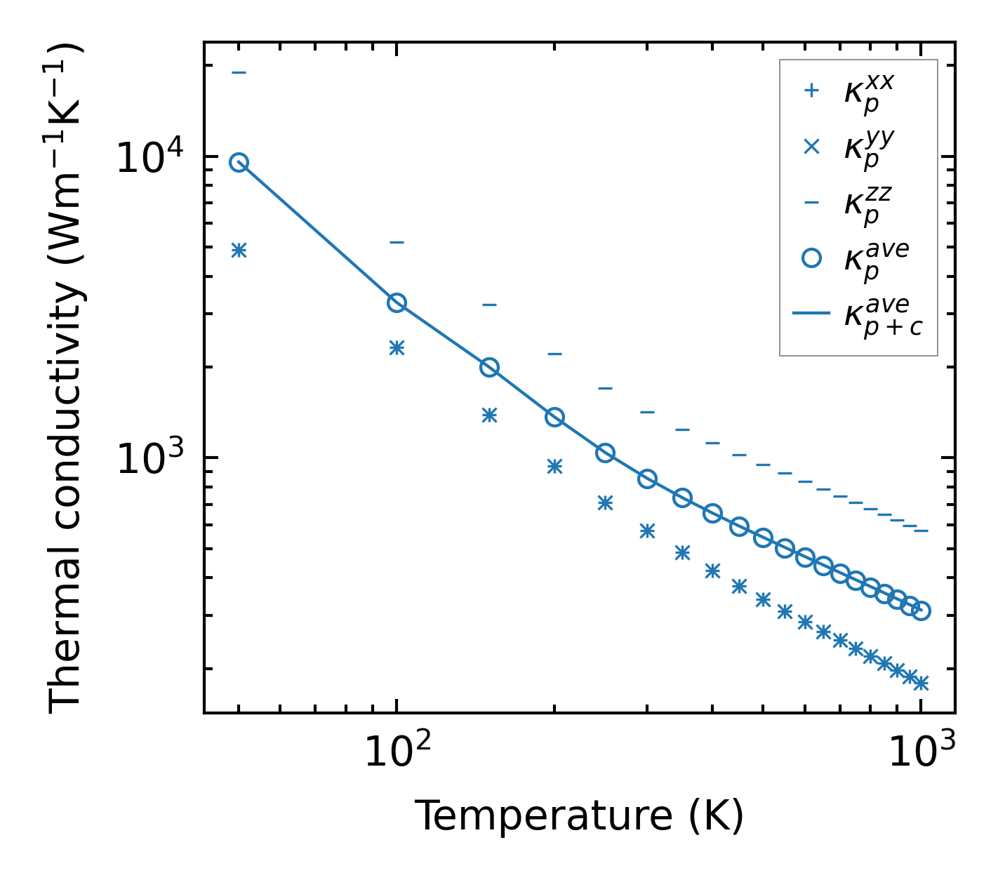
../../_images/fig_kappa5352.png

(a) Temperature-dependent lattice thermal conductivity

../../_images/fig_kappa_vs_grain_size2860.png

(b) Peierls lattice thermal conductivity w.r.t grain size

Phonon lifetime and scattering rates

../../_images/fig_lifetime2795.png

(a) Phonon lifetime due to phonon-phonon scattering

../../_images/fig_scat_rates2794.png

(b) Phonon scattering rates

Cumulative and spectral thermal conductivity

../../_images/fig_cumu_frequency2795.png

(a) Spectral and cumulative thermal conductivity w.r.t frequency

../../_images/fig_cumu_mfp2794.png

(b) Spectral and cumulative thermal conductivity w.r.t MFP

Force constants

../../_images/fig_fc26630.png

(a) Force constants w.r.t atomic distance

Summary

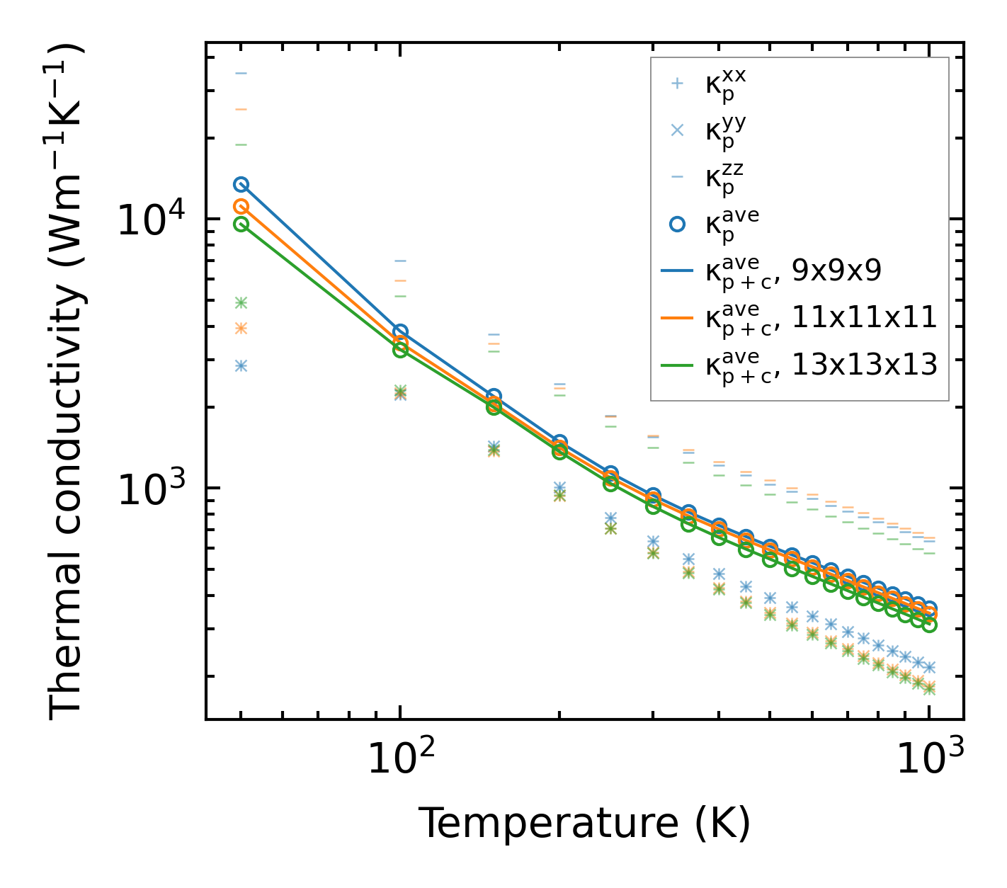
../../_images/fig_kappa5353.png

(a) Temperature-dependent lattice thermal conductivity

../../_images/fig_times12278.png

(b) Computation time