mp-570747-2/N2/anharm

Equation of state

../../_images/fig_bm3670.png

(a) Equation of state

Harmonic properties

../../_images/fig_bandos_pr6854.png

(a) Phonon dispersion with participation ratio and DOS

../../_images/fig_thermo6854.png

(b) Thermodynamic properties

Grüneisen parameters

../../_images/fig_gru_all2824.png

(a) Grüneisen parameters

../../_images/fig_gruneisen2824.png

(b) Phonon dispersion with Grüneisen parameters

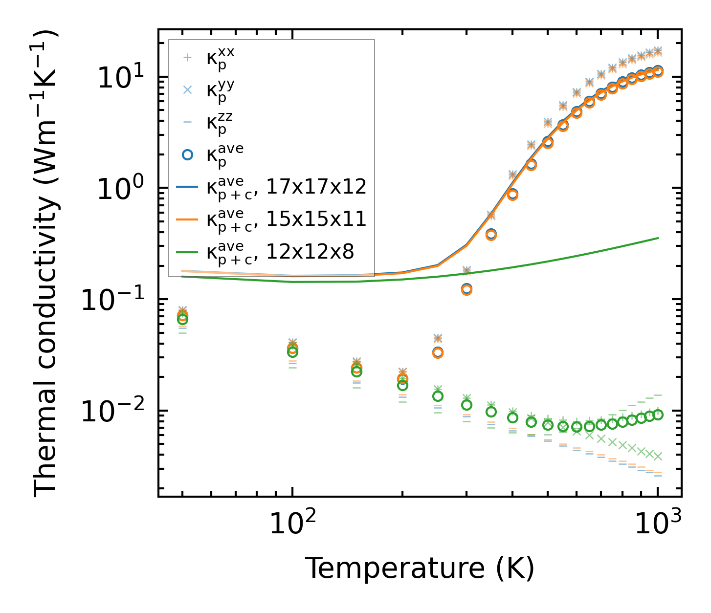
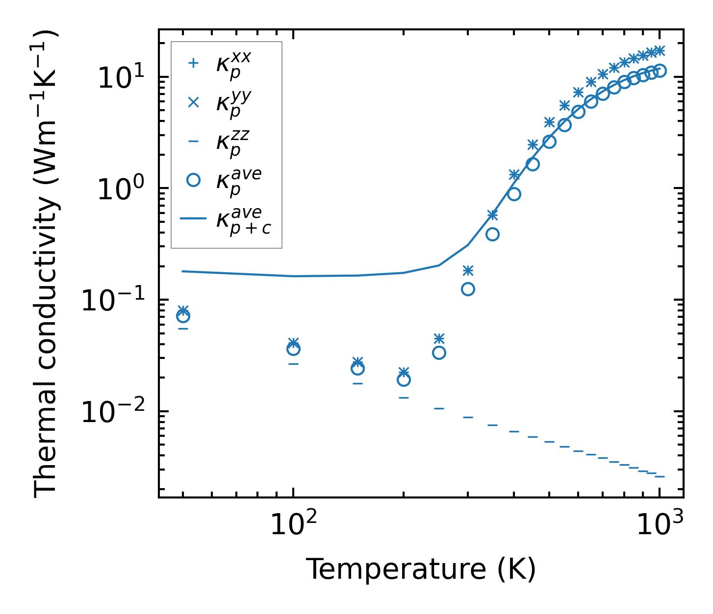
Thermal conductivity

3-phonon — q-mesh: 17x17x12, supercell: 3x3x3

../../_images/fig_kappa5362.png

(a) Temperature-dependent lattice thermal conductivity

../../_images/fig_kappa_vs_grain_size2865.png

(b) Peierls lattice thermal conductivity w.r.t grain size

Phonon lifetime and scattering rates

../../_images/fig_lifetime2800.png

(a) Phonon lifetime due to phonon-phonon scattering

../../_images/fig_scat_rates2799.png

(b) Phonon scattering rates

Cumulative and spectral thermal conductivity

../../_images/fig_cumu_frequency2800.png

(a) Spectral and cumulative thermal conductivity w.r.t frequency

../../_images/fig_cumu_mfp2799.png

(b) Spectral and cumulative thermal conductivity w.r.t MFP

Force constants

../../_images/fig_fc3216.png

(a) Force constants w.r.t atomic distance

Summary

../../_images/fig_kappa5363.png

(a) Temperature-dependent lattice thermal conductivity

../../_images/fig_times12302.png

(b) Computation time