mp-570324/Rb2TeBr6/anharm

Harmonic properties

../../_images/fig_bandos_pr6797.png

(a) Phonon dispersion with participation ratio and DOS

../../_images/fig_thermo6797.png

(b) Thermodynamic properties

Grüneisen parameters

../../_images/fig_gru_all2791.png

(a) Grüneisen parameters

../../_images/fig_gruneisen2791.png

(b) Phonon dispersion with Grüneisen parameters

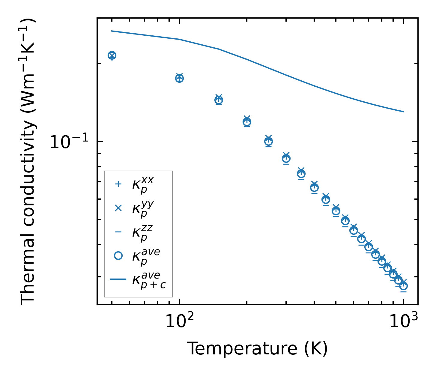
Thermal conductivity

3-phonon (LASSO) — q-mesh: 10x10x10, supercell: 2x2x2

../../_images/fig_kappa5302.png

(a) Temperature-dependent lattice thermal conductivity

../../_images/fig_kappa_vs_grain_size2832.png

(b) Peierls lattice thermal conductivity w.r.t grain size

Phonon lifetime and scattering rates

../../_images/fig_lifetime2767.png

(a) Phonon lifetime due to phonon-phonon scattering

../../_images/fig_scat_rates2766.png

(b) Phonon scattering rates

Cumulative and spectral thermal conductivity

../../_images/fig_cumu_frequency2767.png

(a) Spectral and cumulative thermal conductivity w.r.t frequency

../../_images/fig_cumu_mfp2766.png

(b) Spectral and cumulative thermal conductivity w.r.t MFP

Force constants

../../_images/fig_fc26584.png

(a) Force constants w.r.t atomic distance

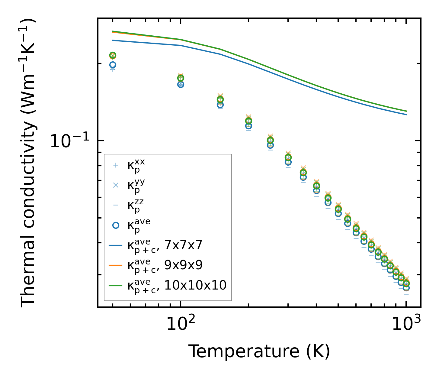
Summary

../../_images/fig_kappa5303.png

(a) Temperature-dependent lattice thermal conductivity

../../_images/fig_times12200.png

(b) Computation time