mp-570411/K12In2Se9/anharm

Harmonic properties

../../_images/fig_bandos_pr6804.png

(a) Phonon dispersion with participation ratio and DOS

../../_images/fig_thermo6804.png

(b) Thermodynamic properties

Grüneisen parameters

../../_images/fig_gru_all2796.png

(a) Grüneisen parameters

../../_images/fig_gruneisen2796.png

(b) Phonon dispersion with Grüneisen parameters

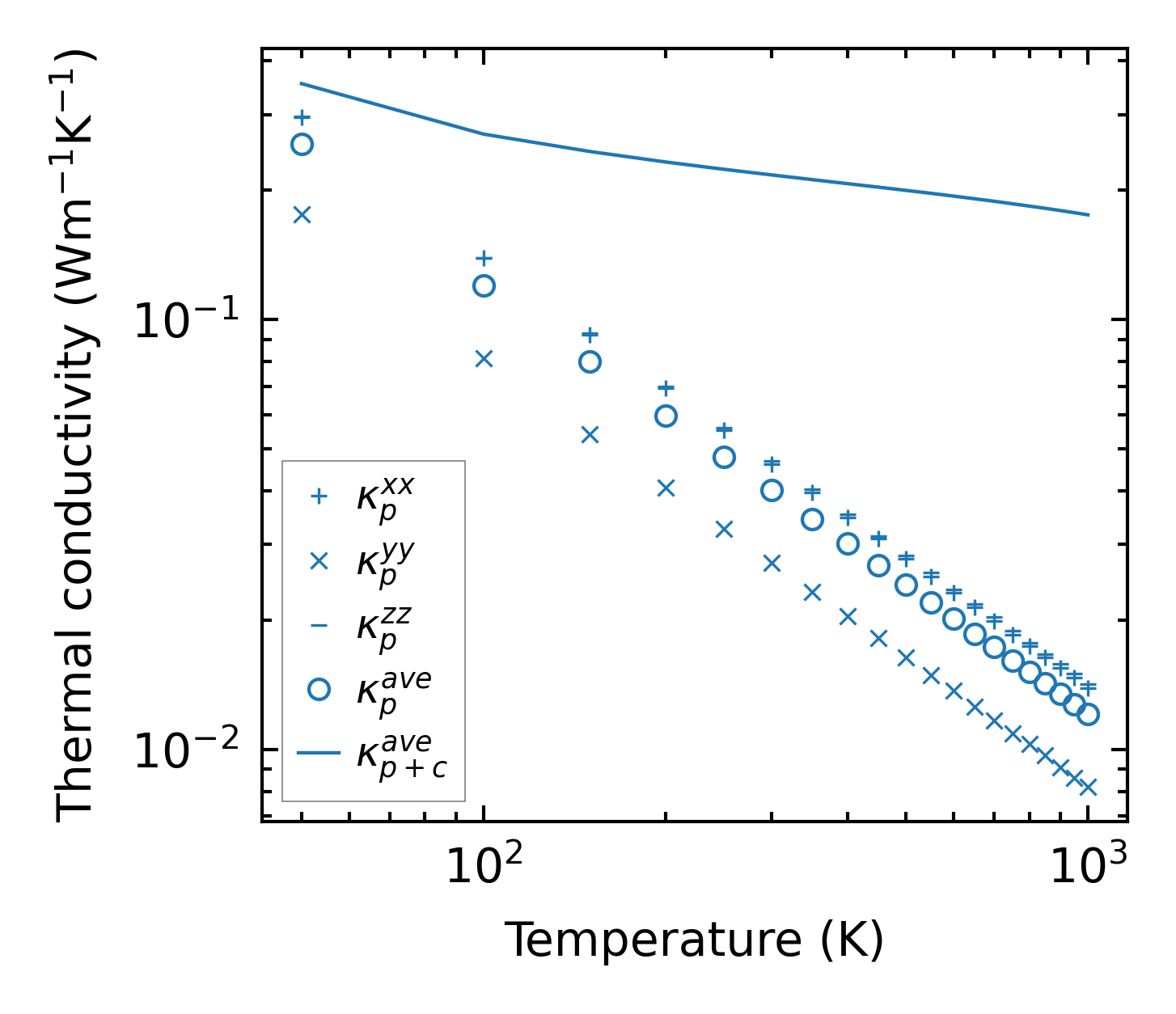
Thermal conductivity

3-phonon (LASSO) — q-mesh: 5x4x5, supercell: 1x1x1

../../_images/fig_kappa5312.png

(a) Temperature-dependent lattice thermal conductivity

../../_images/fig_kappa_vs_grain_size2837.png

(b) Peierls lattice thermal conductivity w.r.t grain size

Phonon lifetime and scattering rates

../../_images/fig_lifetime2772.png

(a) Phonon lifetime due to phonon-phonon scattering

../../_images/fig_scat_rates2771.png

(b) Phonon scattering rates

Cumulative and spectral thermal conductivity

../../_images/fig_cumu_frequency2772.png

(a) Spectral and cumulative thermal conductivity w.r.t frequency

../../_images/fig_cumu_mfp2771.png

(b) Spectral and cumulative thermal conductivity w.r.t MFP

Force constants

../../_images/fig_fc26590.png

(a) Force constants w.r.t atomic distance

Summary

../../_images/fig_kappa5313.png

(a) Temperature-dependent lattice thermal conductivity

../../_images/fig_times12211.png

(b) Computation time