mp-570213/LiMgBi/anharm

Harmonic properties

../../_images/fig_bandos_pr7115.png

(a) Phonon dispersion with participation ratio and DOS

../../_images/fig_thermo7115.png

(b) Thermodynamic properties

Grüneisen parameters

../../_images/fig_gru_all2976.png

(a) Grüneisen parameters

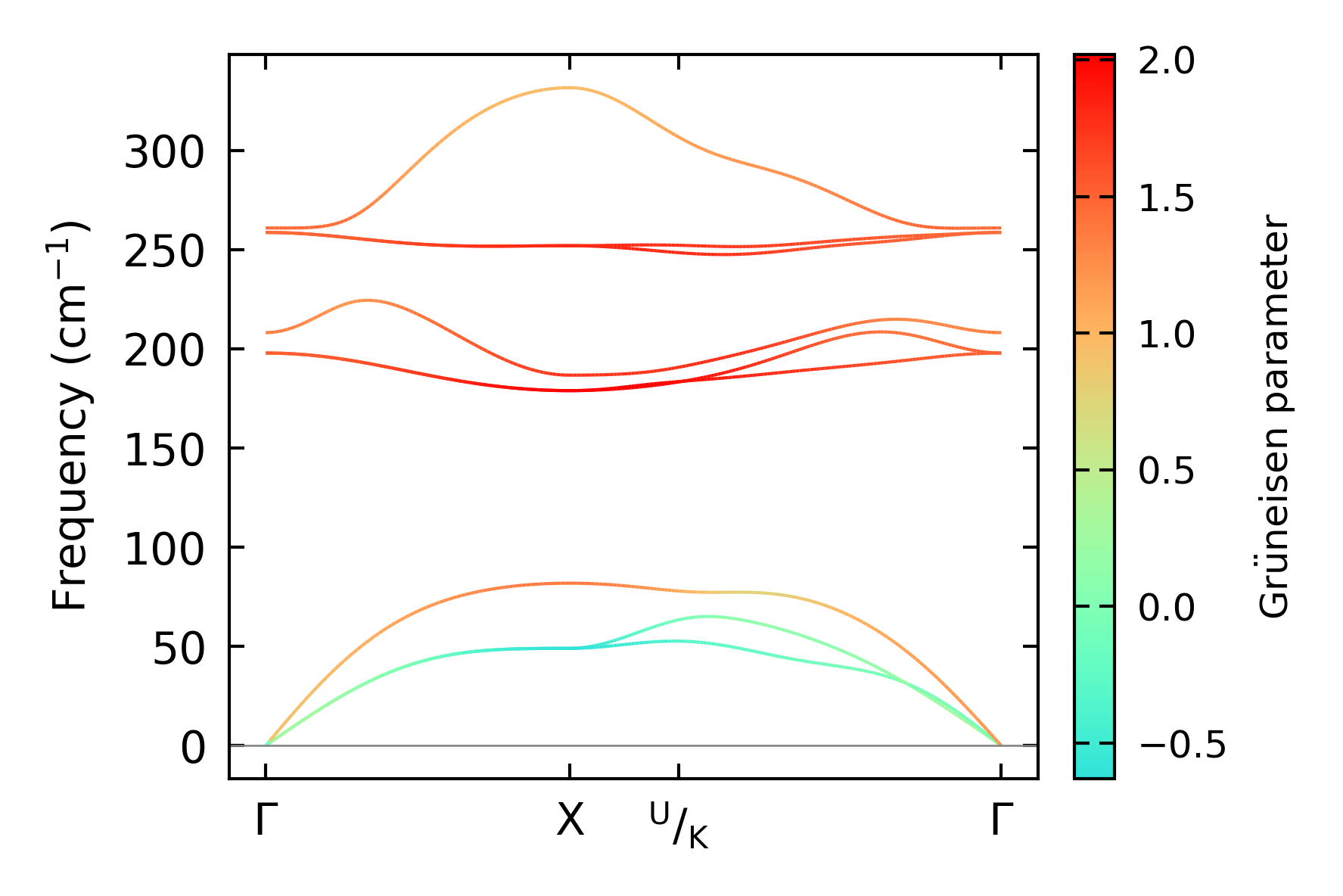
../../_images/fig_gruneisen2976.png

(b) Phonon dispersion with Grüneisen parameters

Thermal conductivity

3-phonon — q-mesh: 16x16x16, supercell: 2x2x2

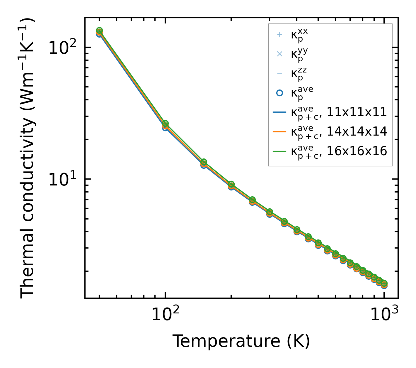
../../_images/fig_kappa5641.png

(a) Temperature-dependent lattice thermal conductivity

../../_images/fig_kappa_vs_grain_size3018.png

(b) Peierls lattice thermal conductivity w.r.t grain size

Phonon lifetime and scattering rates

../../_images/fig_lifetime2951.png

(a) Phonon lifetime due to phonon-phonon scattering

../../_images/fig_scat_rates2950.png

(b) Phonon scattering rates

Cumulative and spectral thermal conductivity

../../_images/fig_cumu_frequency2951.png

(a) Spectral and cumulative thermal conductivity w.r.t frequency

../../_images/fig_cumu_mfp2950.png

(b) Spectral and cumulative thermal conductivity w.r.t MFP

Force constants

../../_images/fig_fc3226.png

(a) Force constants w.r.t atomic distance

Summary

../../_images/fig_kappa5642.png

(a) Temperature-dependent lattice thermal conductivity

../../_images/fig_times12697.png

(b) Computation time