mp-570690/SiC/anharm

Harmonic properties

../../_images/fig_bandos_pr6850.png

(a) Phonon dispersion with participation ratio and DOS

../../_images/fig_thermo6850.png

(b) Thermodynamic properties

Grüneisen parameters

../../_images/fig_gru_all2823.png

(a) Grüneisen parameters

../../_images/fig_gruneisen2823.png

(b) Phonon dispersion with Grüneisen parameters

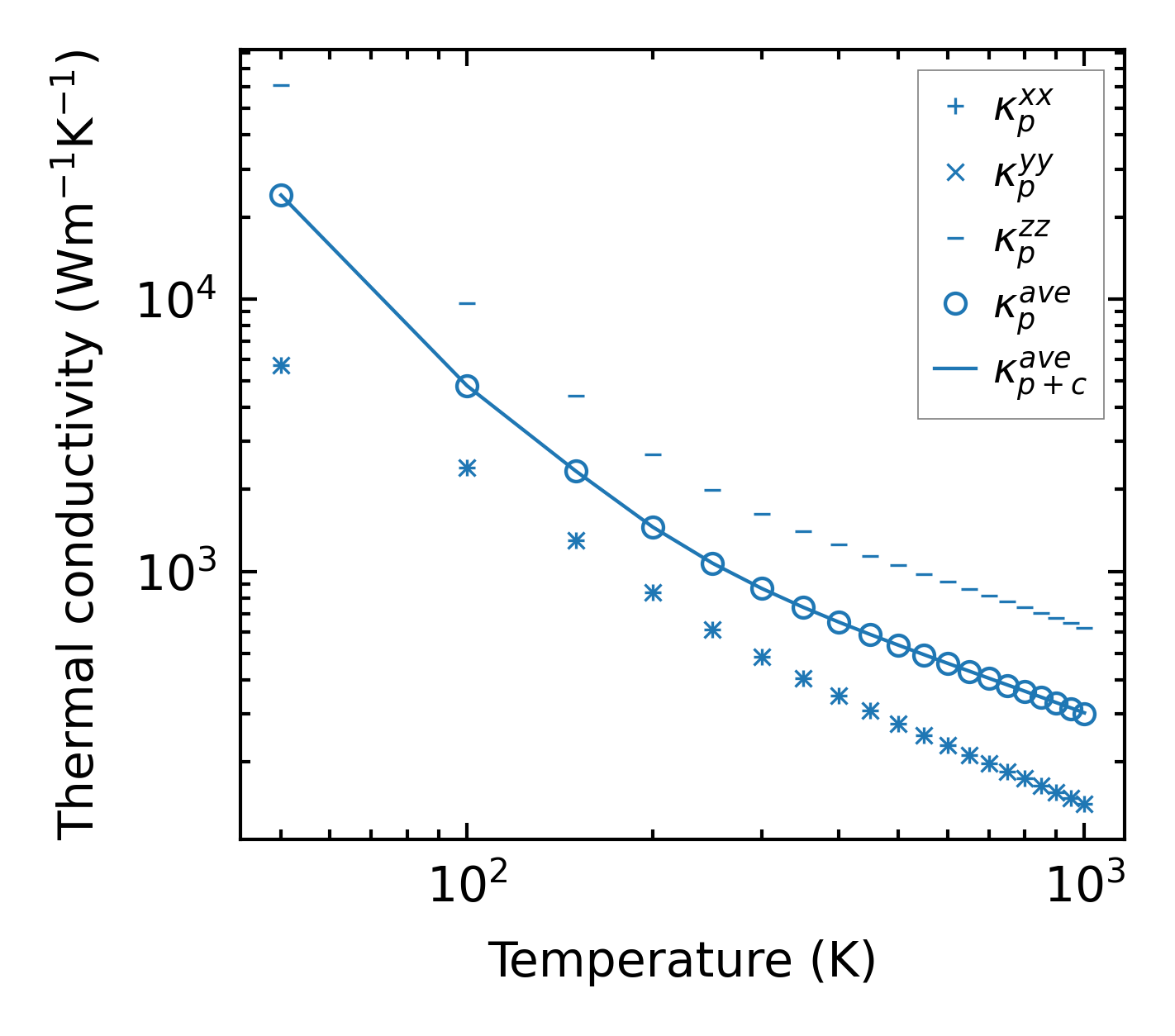
Thermal conductivity

3-phonon (LASSO) — q-mesh: 12x12x12, supercell: 1x1x1

../../_images/fig_kappa5360.png

(a) Temperature-dependent lattice thermal conductivity

../../_images/fig_kappa_vs_grain_size2864.png

(b) Peierls lattice thermal conductivity w.r.t grain size

Phonon lifetime and scattering rates

../../_images/fig_lifetime2799.png

(a) Phonon lifetime due to phonon-phonon scattering

../../_images/fig_scat_rates2798.png

(b) Phonon scattering rates

Cumulative and spectral thermal conductivity

../../_images/fig_cumu_frequency2799.png

(a) Spectral and cumulative thermal conductivity w.r.t frequency

../../_images/fig_cumu_mfp2798.png

(b) Spectral and cumulative thermal conductivity w.r.t MFP

Force constants

../../_images/fig_fc26634.png

(a) Force constants w.r.t atomic distance

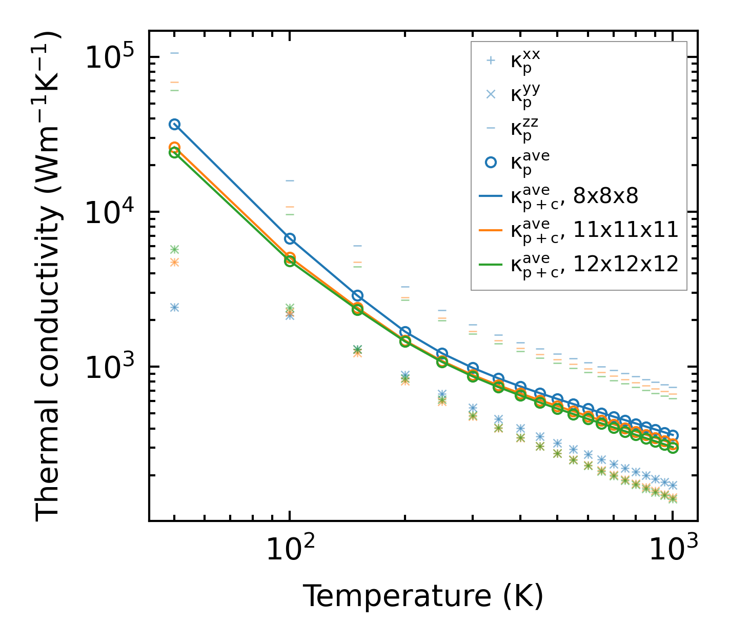
Summary

../../_images/fig_kappa5361.png

(a) Temperature-dependent lattice thermal conductivity

../../_images/fig_times12288.png

(b) Computation time