mp-570803/Ba2GeTe2Se2/anharm

Harmonic properties

../../_images/fig_bandos_pr6860.png

(a) Phonon dispersion with participation ratio and DOS

../../_images/fig_thermo6860.png

(b) Thermodynamic properties

Grüneisen parameters

../../_images/fig_gru_all2827.png

(a) Grüneisen parameters

../../_images/fig_gruneisen2827.png

(b) Phonon dispersion with Grüneisen parameters

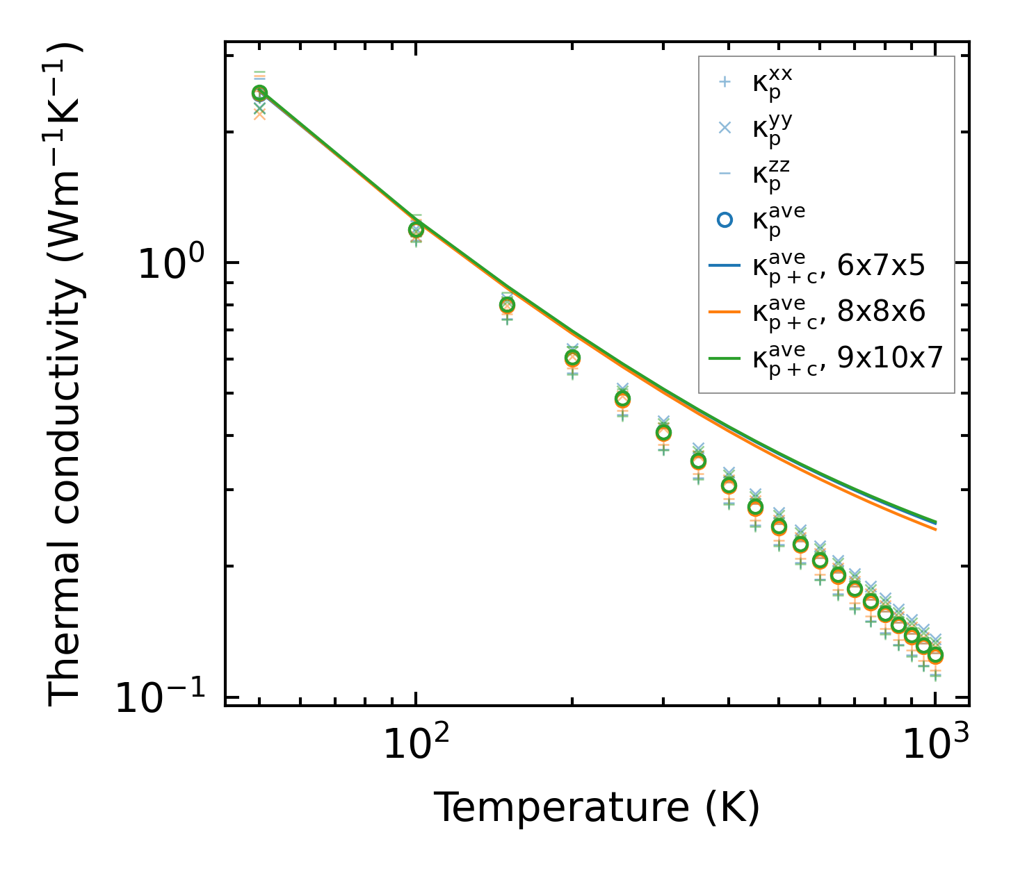
Thermal conductivity

3-phonon (LASSO) — q-mesh: 9x10x7, supercell: 2x2x2

../../_images/fig_kappa5368.png

(a) Temperature-dependent lattice thermal conductivity

../../_images/fig_kappa_vs_grain_size2868.png

(b) Peierls lattice thermal conductivity w.r.t grain size

Phonon lifetime and scattering rates

../../_images/fig_lifetime2803.png

(a) Phonon lifetime due to phonon-phonon scattering

../../_images/fig_scat_rates2802.png

(b) Phonon scattering rates

Cumulative and spectral thermal conductivity

../../_images/fig_cumu_frequency2803.png

(a) Spectral and cumulative thermal conductivity w.r.t frequency

../../_images/fig_cumu_mfp2802.png

(b) Spectral and cumulative thermal conductivity w.r.t MFP

Force constants

../../_images/fig_fc26643.png

(a) Force constants w.r.t atomic distance

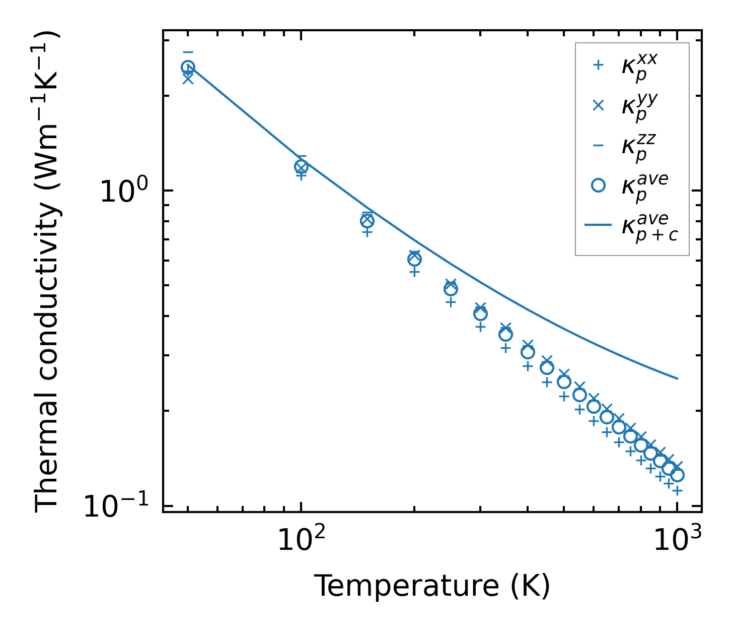
Summary

../../_images/fig_kappa5369.png

(a) Temperature-dependent lattice thermal conductivity

../../_images/fig_times12314.png

(b) Computation time