mp-570213-3/LiMgBi/anharm

Harmonic properties

../../_images/fig_bandos_pr7117.png

(a) Phonon dispersion with participation ratio and DOS

../../_images/fig_thermo7117.png

(b) Thermodynamic properties

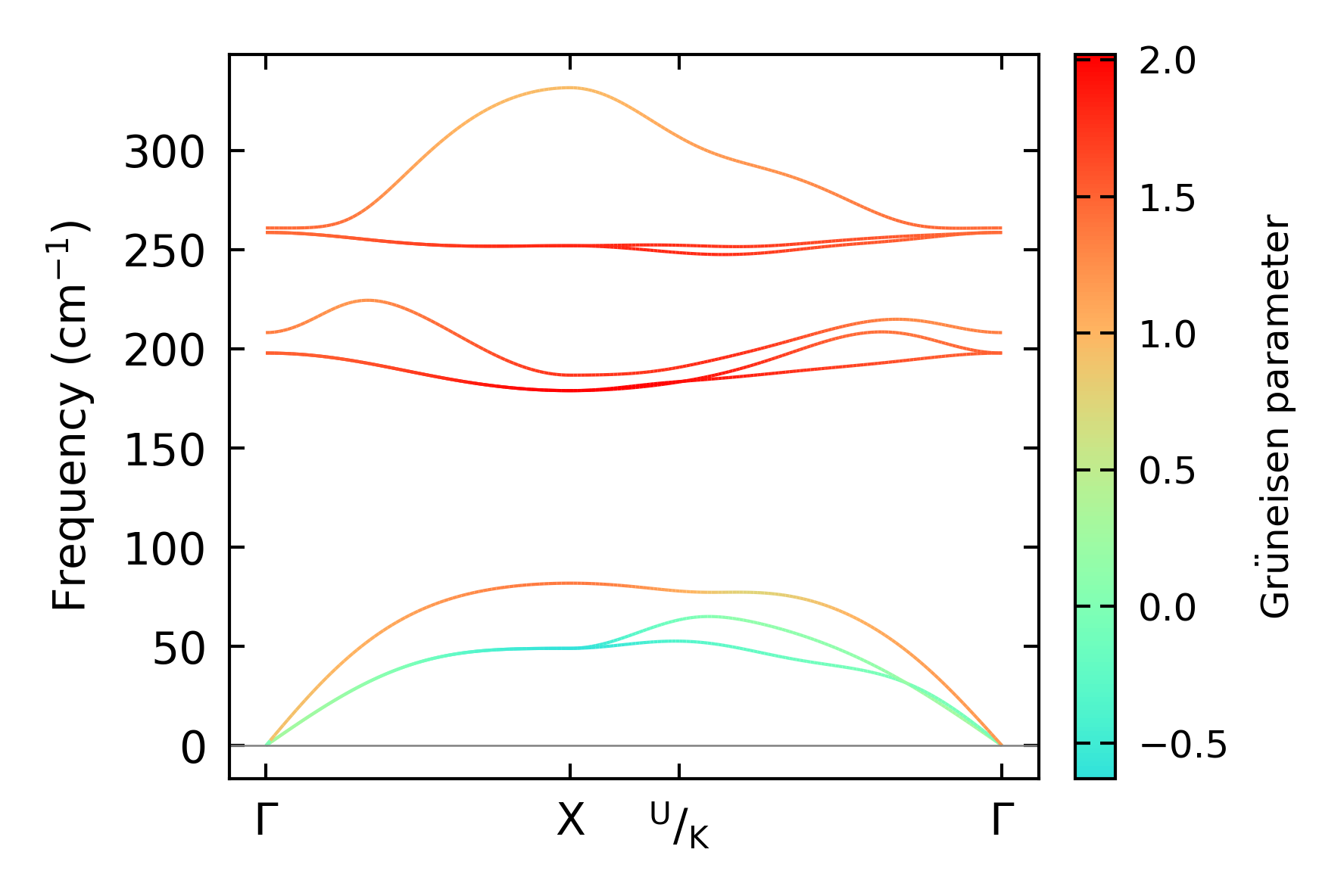
Grüneisen parameters

../../_images/fig_gru_all2978.png

(a) Grüneisen parameters

../../_images/fig_gruneisen2978.png

(b) Phonon dispersion with Grüneisen parameters

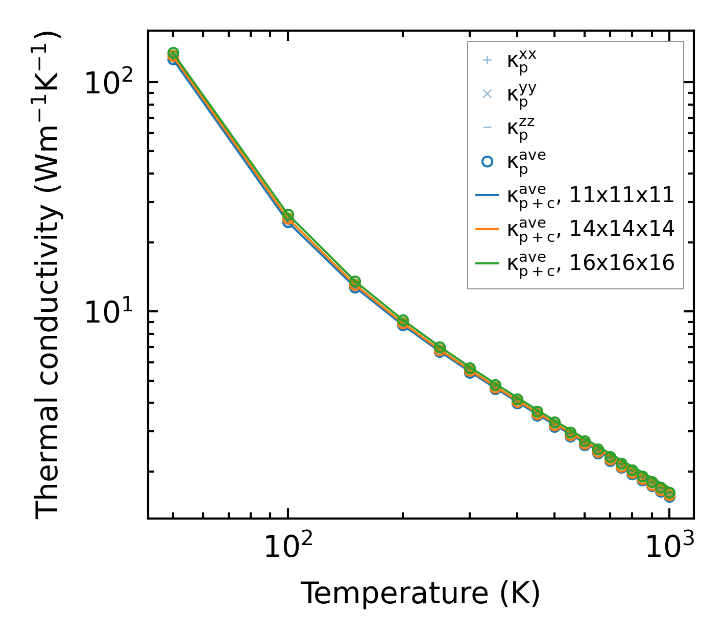
Thermal conductivity

3-phonon — q-mesh: 16x16x16, supercell: 2x2x2

../../_images/fig_kappa5645.png

(a) Temperature-dependent lattice thermal conductivity

../../_images/fig_kappa_vs_grain_size3020.png

(b) Peierls lattice thermal conductivity w.r.t grain size

Phonon lifetime and scattering rates

../../_images/fig_lifetime2953.png

(a) Phonon lifetime due to phonon-phonon scattering

../../_images/fig_scat_rates2952.png

(b) Phonon scattering rates

Cumulative and spectral thermal conductivity

../../_images/fig_cumu_frequency2953.png

(a) Spectral and cumulative thermal conductivity w.r.t frequency

../../_images/fig_cumu_mfp2952.png

(b) Spectral and cumulative thermal conductivity w.r.t MFP

Force constants

../../_images/fig_fc3228.png

(a) Force constants w.r.t atomic distance

Summary

../../_images/fig_kappa5646.png

(a) Temperature-dependent lattice thermal conductivity

../../_images/fig_times12699.png

(b) Computation time