mp-570002/C/anharm

Harmonic properties

../../_images/fig_bandos_pr7081.png

(a) Phonon dispersion with participation ratio and DOS

../../_images/fig_thermo7081.png

(b) Thermodynamic properties

Grüneisen parameters

../../_images/fig_gru_all2955.png

(a) Grüneisen parameters

../../_images/fig_gruneisen2955.png

(b) Phonon dispersion with Grüneisen parameters

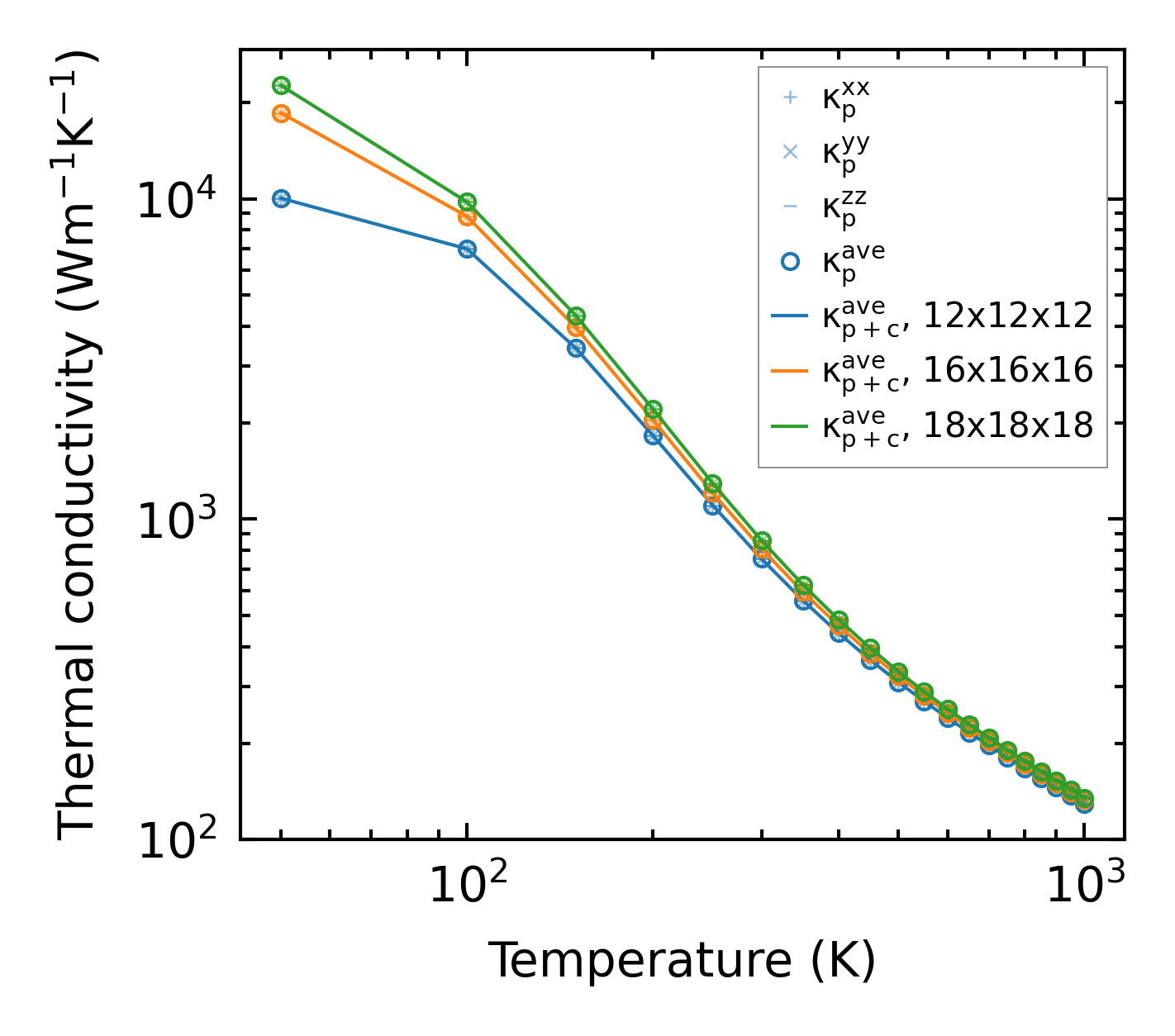
Thermal conductivity

3-phonon — q-mesh: 18x18x18, supercell: 2x2x2

../../_images/fig_kappa5603.png

(a) Temperature-dependent lattice thermal conductivity

../../_images/fig_kappa_vs_grain_size2996.png

(b) Peierls lattice thermal conductivity w.r.t grain size

Phonon lifetime and scattering rates

../../_images/fig_lifetime2930.png

(a) Phonon lifetime due to phonon-phonon scattering

../../_images/fig_scat_rates2929.png

(b) Phonon scattering rates

Cumulative and spectral thermal conductivity

../../_images/fig_cumu_frequency2930.png

(a) Spectral and cumulative thermal conductivity w.r.t frequency

../../_images/fig_cumu_mfp2929.png

(b) Spectral and cumulative thermal conductivity w.r.t MFP

Force constants

../../_images/fig_fc3224.png

(a) Force constants w.r.t atomic distance

Summary

../../_images/fig_kappa5604.png

(a) Temperature-dependent lattice thermal conductivity

../../_images/fig_times12633.png

(b) Computation time