mp-570340/AgAuCl4/anharm

Harmonic properties

../../_images/fig_bandos_pr6799.png

(a) Phonon dispersion with participation ratio and DOS

../../_images/fig_thermo6799.png

(b) Thermodynamic properties

Grüneisen parameters

../../_images/fig_gru_all2793.png

(a) Grüneisen parameters

../../_images/fig_gruneisen2793.png

(b) Phonon dispersion with Grüneisen parameters

Thermal conductivity

3-phonon (LASSO) — q-mesh: 13x13x6, supercell: 1x4x1

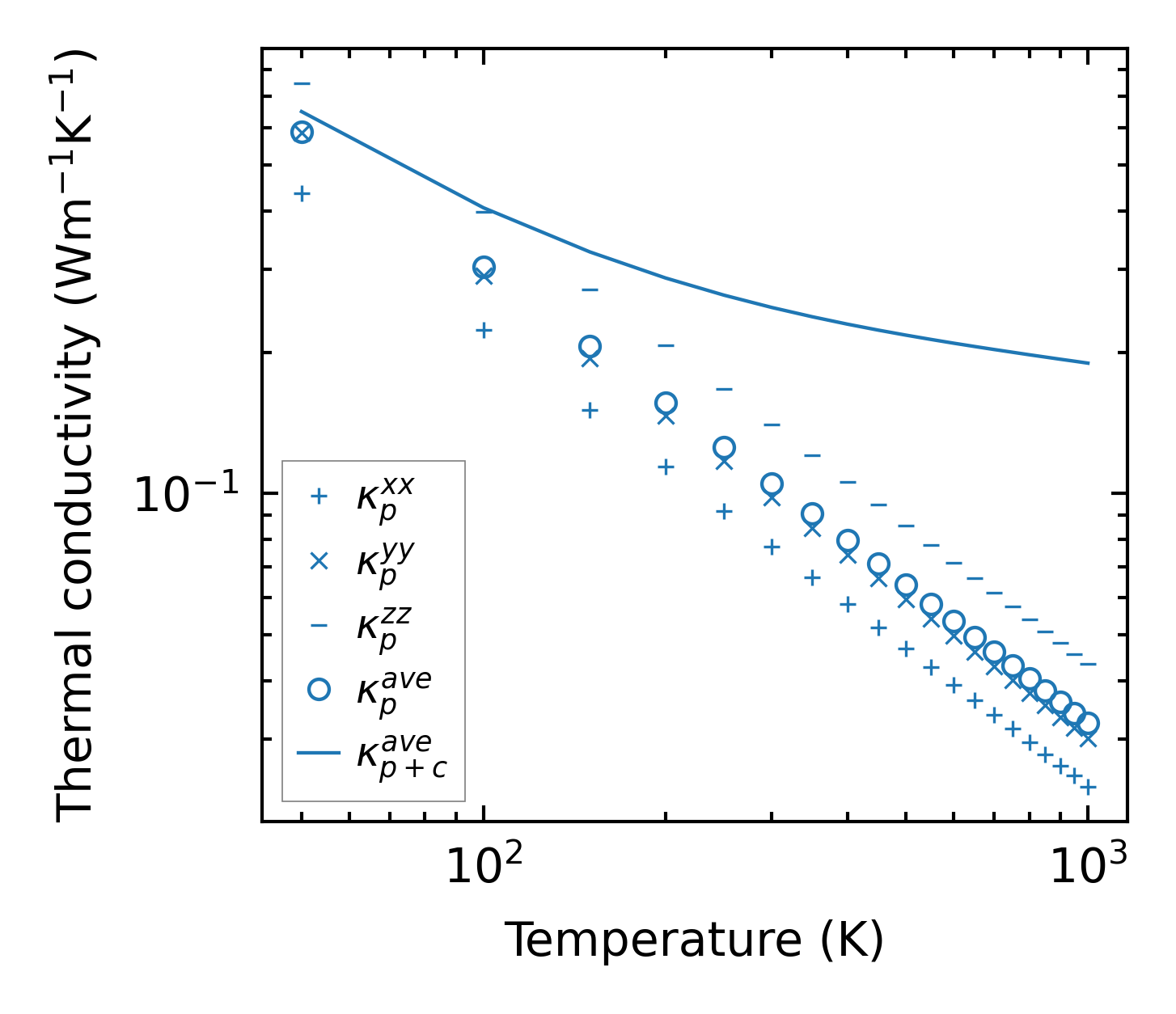
../../_images/fig_kappa5306.png

(a) Temperature-dependent lattice thermal conductivity

../../_images/fig_kappa_vs_grain_size2834.png

(b) Peierls lattice thermal conductivity w.r.t grain size

Phonon lifetime and scattering rates

../../_images/fig_lifetime2769.png

(a) Phonon lifetime due to phonon-phonon scattering

../../_images/fig_scat_rates2768.png

(b) Phonon scattering rates

Cumulative and spectral thermal conductivity

../../_images/fig_cumu_frequency2769.png

(a) Spectral and cumulative thermal conductivity w.r.t frequency

../../_images/fig_cumu_mfp2768.png

(b) Spectral and cumulative thermal conductivity w.r.t MFP

Force constants

../../_images/fig_fc26586.png

(a) Force constants w.r.t atomic distance

Summary

../../_images/fig_kappa5307.png

(a) Temperature-dependent lattice thermal conductivity

../../_images/fig_times12202.png

(b) Computation time